mp-23995/Al2P3H3O9/anharm

Harmonic properties

../../_images/fig_bandos_pr12592.png

(a) Phonon dispersion with participation ratio and DOS

../../_images/fig_thermo12592.png

(b) Thermodynamic properties

Grüneisen parameters

../../_images/fig_gru_all5221.png

(a) Grüneisen parameters

../../_images/fig_gruneisen5221.png

(b) Phonon dispersion with Grüneisen parameters

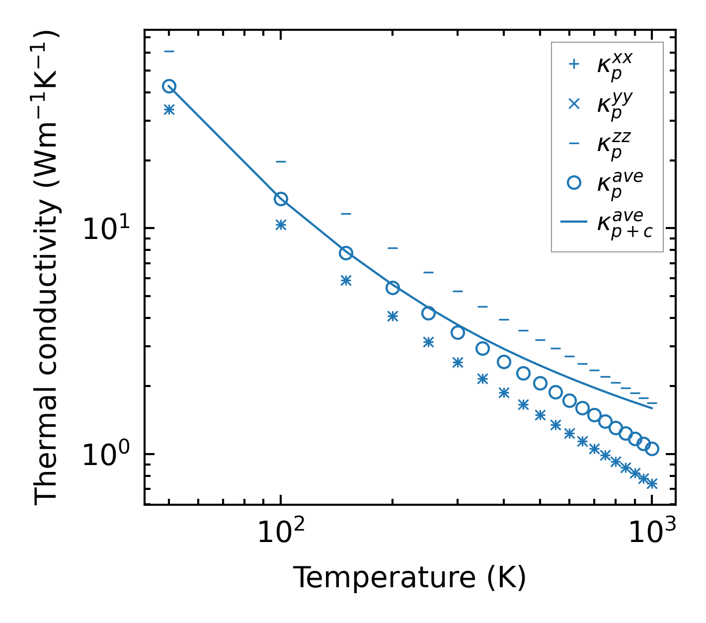
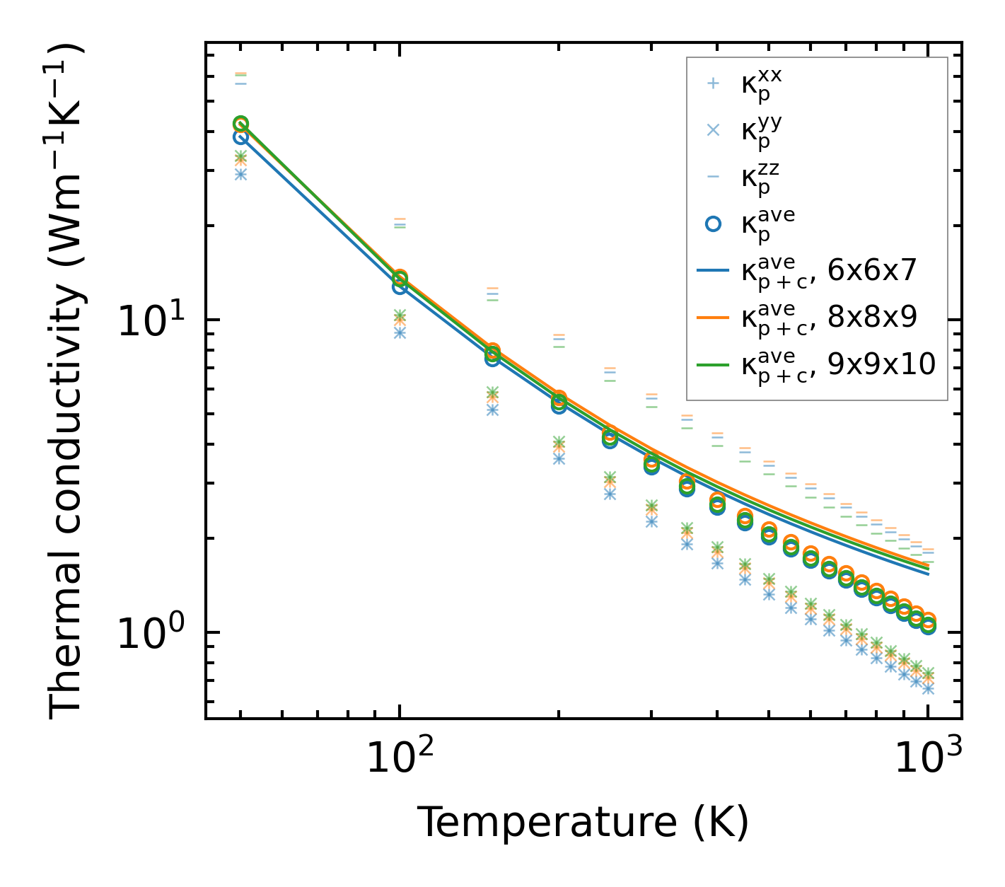
Thermal conductivity

3-phonon (LASSO) — q-mesh: 9x9x10, supercell: 1x1x2

../../_images/fig_kappa9817.png

(a) Temperature-dependent lattice thermal conductivity

../../_images/fig_kappa_vs_grain_size5283.png

(b) Peierls lattice thermal conductivity w.r.t grain size

Phonon lifetime and scattering rates

../../_images/fig_lifetime5170.png

(a) Phonon lifetime due to phonon-phonon scattering

../../_images/fig_scat_rates5169.png

(b) Phonon scattering rates

Cumulative and spectral thermal conductivity

../../_images/fig_cumu_frequency5170.png

(a) Spectral and cumulative thermal conductivity w.r.t frequency

../../_images/fig_cumu_mfp5169.png

(b) Spectral and cumulative thermal conductivity w.r.t MFP

Force constants

../../_images/fig_fc212290.png

(a) Force constants w.r.t atomic distance

Summary

../../_images/fig_kappa9818.png

(a) Temperature-dependent lattice thermal conductivity

../../_images/fig_times21394.png

(b) Computation time