mp-23758/KNaB2H8/anharm

Harmonic properties

../../_images/fig_bandos_pr12485.png

(a) Phonon dispersion with participation ratio and DOS

../../_images/fig_thermo12485.png

(b) Thermodynamic properties

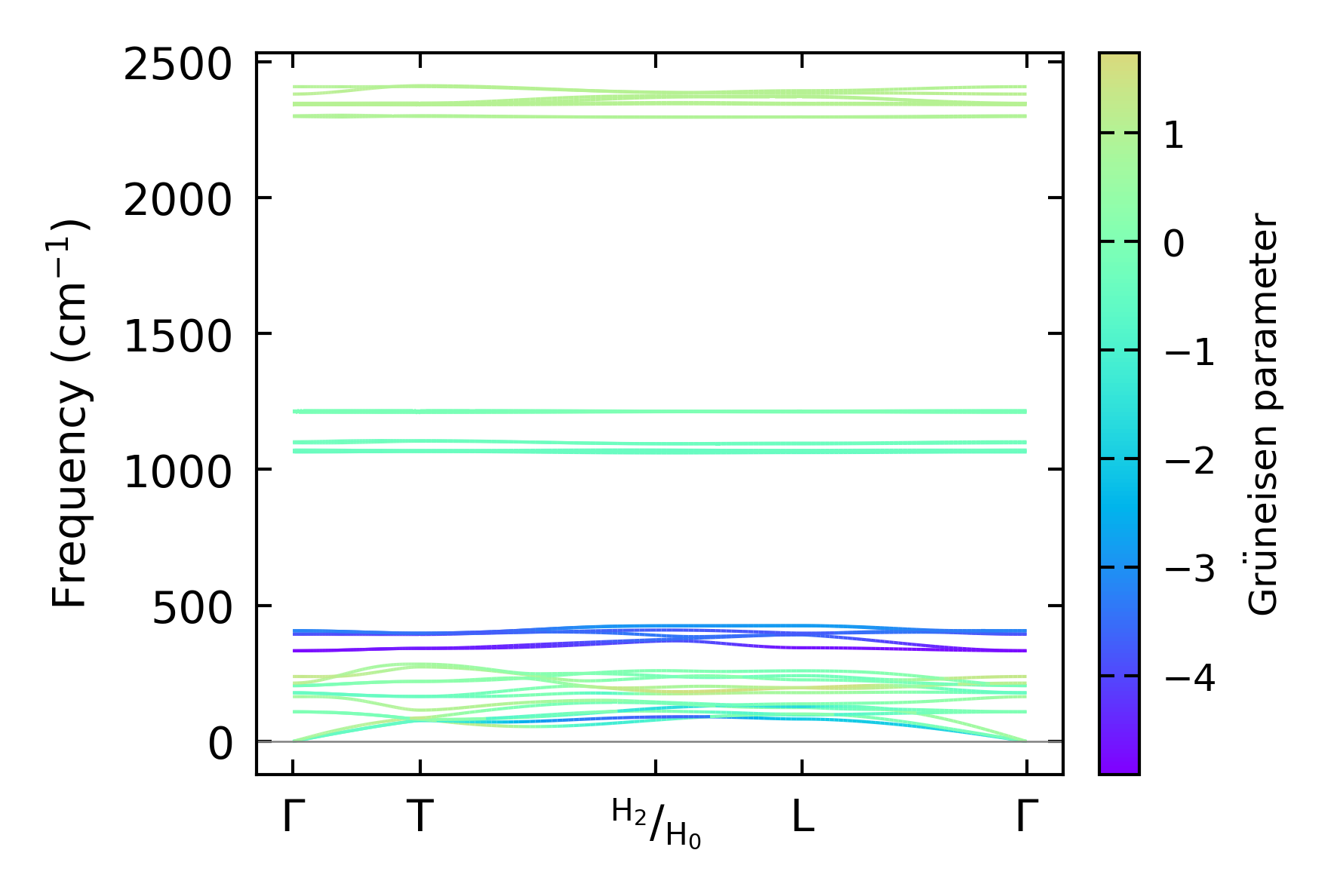
Grüneisen parameters

../../_images/fig_gru_all5185.png

(a) Grüneisen parameters

../../_images/fig_gruneisen5185.png

(b) Phonon dispersion with Grüneisen parameters

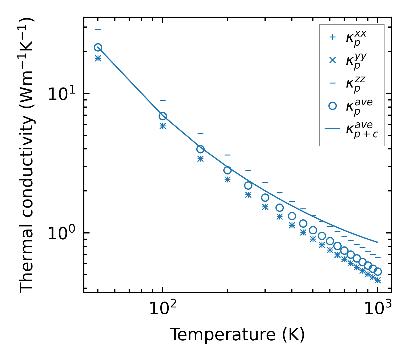
Thermal conductivity

3-phonon (LASSO) — q-mesh: 14x14x14, supercell: 2x2x1

../../_images/fig_kappa9756.png

(a) Temperature-dependent lattice thermal conductivity

../../_images/fig_kappa_vs_grain_size5247.png

(b) Peierls lattice thermal conductivity w.r.t grain size

Phonon lifetime and scattering rates

../../_images/fig_lifetime5134.png

(a) Phonon lifetime due to phonon-phonon scattering

../../_images/fig_scat_rates5133.png

(b) Phonon scattering rates

Cumulative and spectral thermal conductivity

../../_images/fig_cumu_frequency5134.png

(a) Spectral and cumulative thermal conductivity w.r.t frequency

../../_images/fig_cumu_mfp5133.png

(b) Spectral and cumulative thermal conductivity w.r.t MFP

Force constants

../../_images/fig_fc212184.png

(a) Force constants w.r.t atomic distance

Summary

../../_images/fig_kappa9757.png

(a) Temperature-dependent lattice thermal conductivity

../../_images/fig_times21218.png

(b) Computation time