mp-23827-2/Sr7H12Cl2/anharm

Harmonic properties

../../_images/fig_bandos_pr12510.png

(a) Phonon dispersion with participation ratio and DOS

../../_images/fig_thermo12510.png

(b) Thermodynamic properties

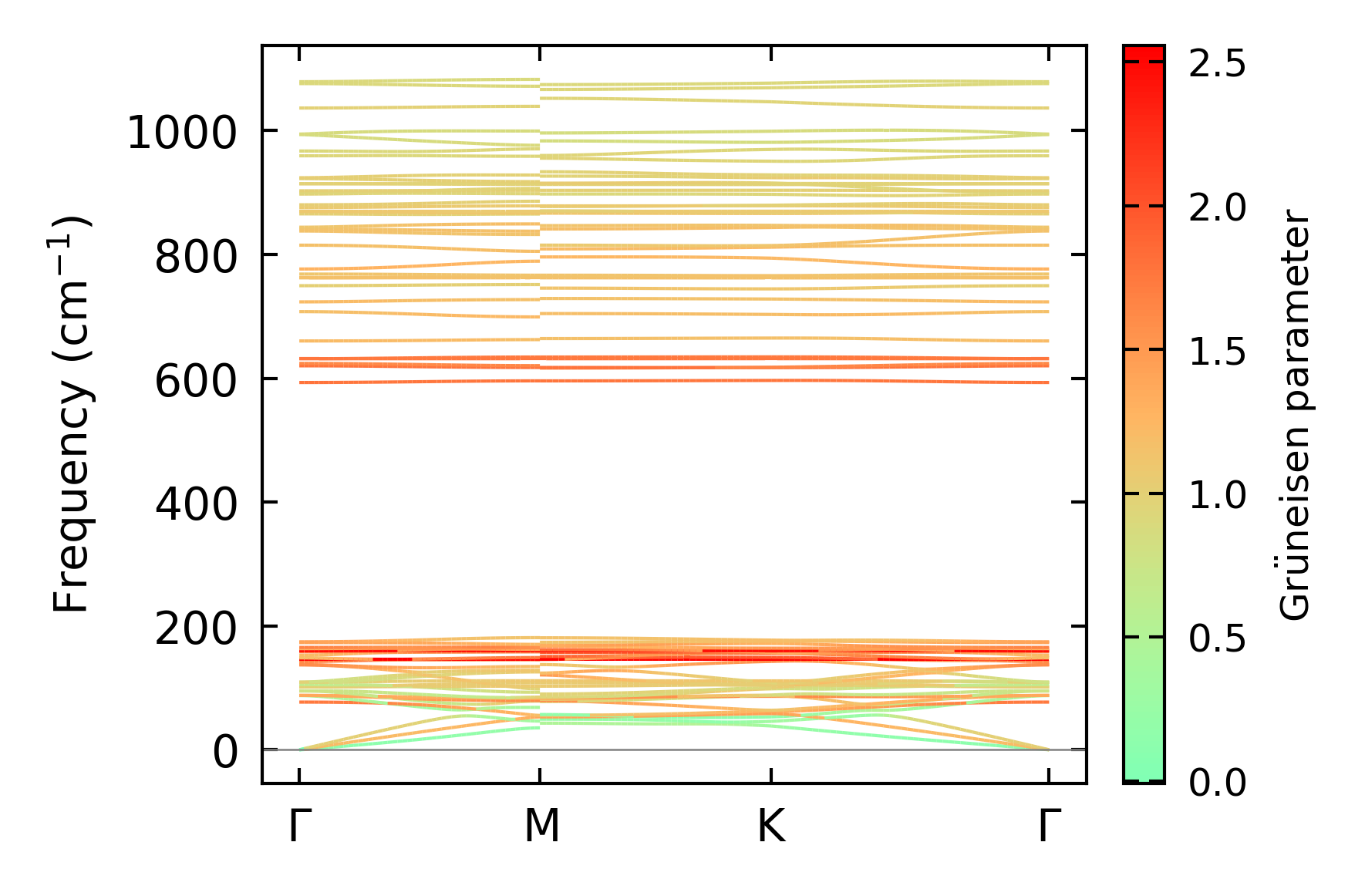
Grüneisen parameters

../../_images/fig_gru_all5197.png

(a) Grüneisen parameters

../../_images/fig_gruneisen5197.png

(b) Phonon dispersion with Grüneisen parameters

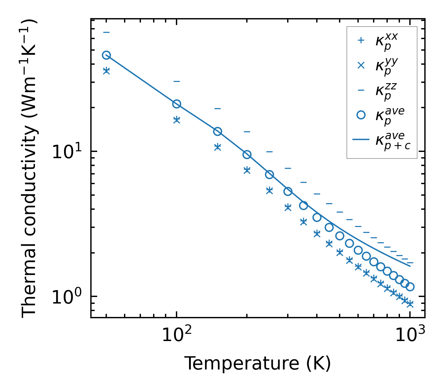
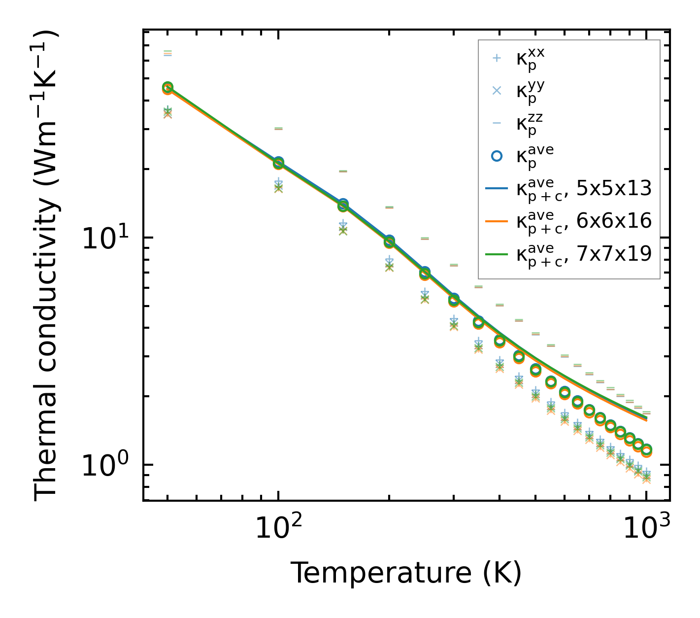
Thermal conductivity

3-phonon (LASSO) — q-mesh: 7x7x19, supercell: 1x1x3

../../_images/fig_kappa9775.png

(a) Temperature-dependent lattice thermal conductivity

../../_images/fig_kappa_vs_grain_size5259.png

(b) Peierls lattice thermal conductivity w.r.t grain size

Phonon lifetime and scattering rates

../../_images/fig_lifetime5146.png

(a) Phonon lifetime due to phonon-phonon scattering

../../_images/fig_scat_rates5145.png

(b) Phonon scattering rates

Cumulative and spectral thermal conductivity

../../_images/fig_cumu_frequency5146.png

(a) Spectral and cumulative thermal conductivity w.r.t frequency

../../_images/fig_cumu_mfp5145.png

(b) Spectral and cumulative thermal conductivity w.r.t MFP

Force constants

../../_images/fig_fc212209.png

(a) Force constants w.r.t atomic distance

Summary

../../_images/fig_kappa9776.png

(a) Temperature-dependent lattice thermal conductivity

../../_images/fig_times21270.png

(b) Computation time