mp-23451/Cs3Cr2Br9/anharm

Harmonic properties

../../_images/fig_bandos_pr12689.png

(a) Phonon dispersion with participation ratio and DOS

../../_images/fig_thermo12689.png

(b) Thermodynamic properties

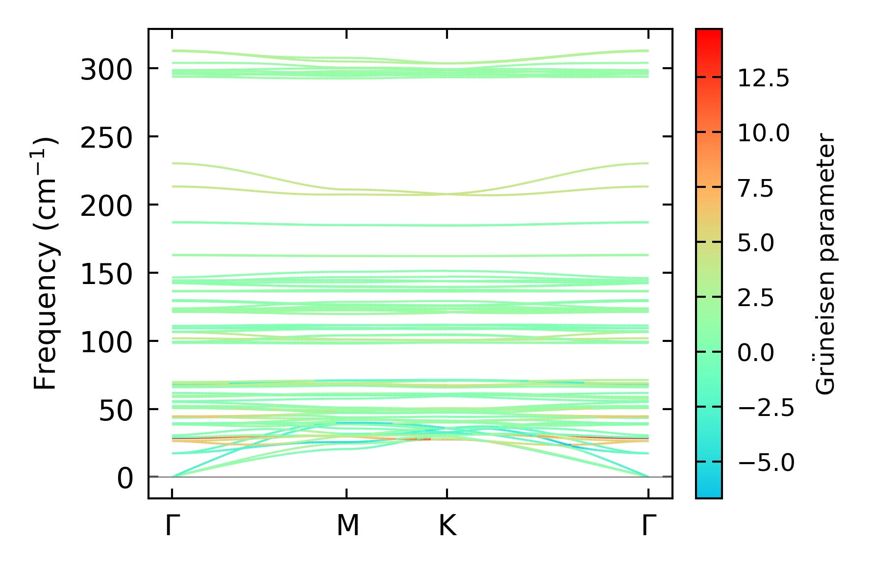
Grüneisen parameters

../../_images/fig_gru_all5259.png

(a) Grüneisen parameters

../../_images/fig_gruneisen5259.png

(b) Phonon dispersion with Grüneisen parameters

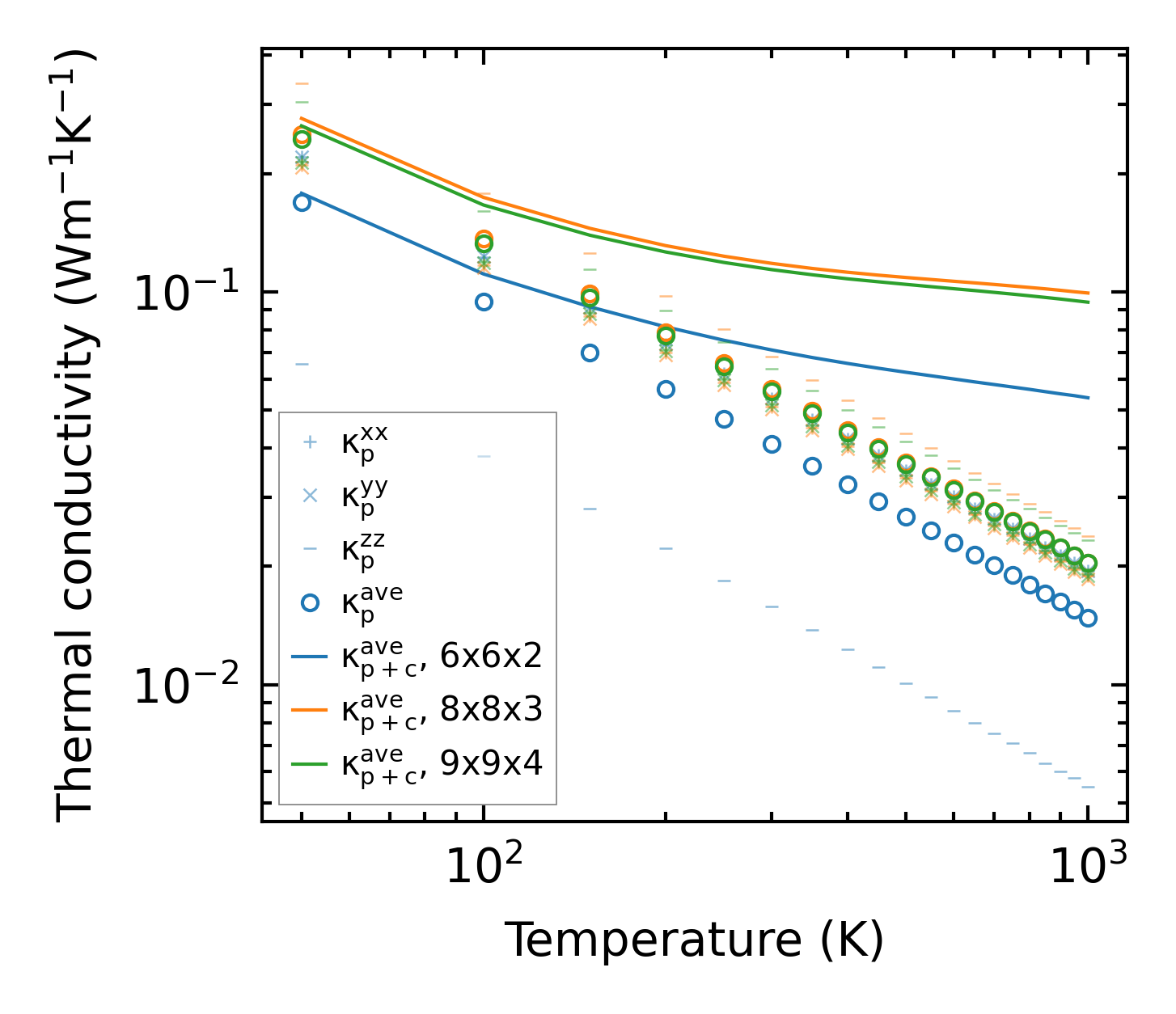
Thermal conductivity

3-phonon (LASSO) — q-mesh: 9x9x4, supercell: 2x2x1

../../_images/fig_kappa9886.png

(a) Temperature-dependent lattice thermal conductivity

../../_images/fig_kappa_vs_grain_size5321.png

(b) Peierls lattice thermal conductivity w.r.t grain size

Phonon lifetime and scattering rates

../../_images/fig_lifetime5208.png

(a) Phonon lifetime due to phonon-phonon scattering

../../_images/fig_scat_rates5207.png

(b) Phonon scattering rates

Cumulative and spectral thermal conductivity

../../_images/fig_cumu_frequency5208.png

(a) Spectral and cumulative thermal conductivity w.r.t frequency

../../_images/fig_cumu_mfp5207.png

(b) Spectral and cumulative thermal conductivity w.r.t MFP

Force constants

../../_images/fig_fc212385.png

(a) Force constants w.r.t atomic distance

Summary

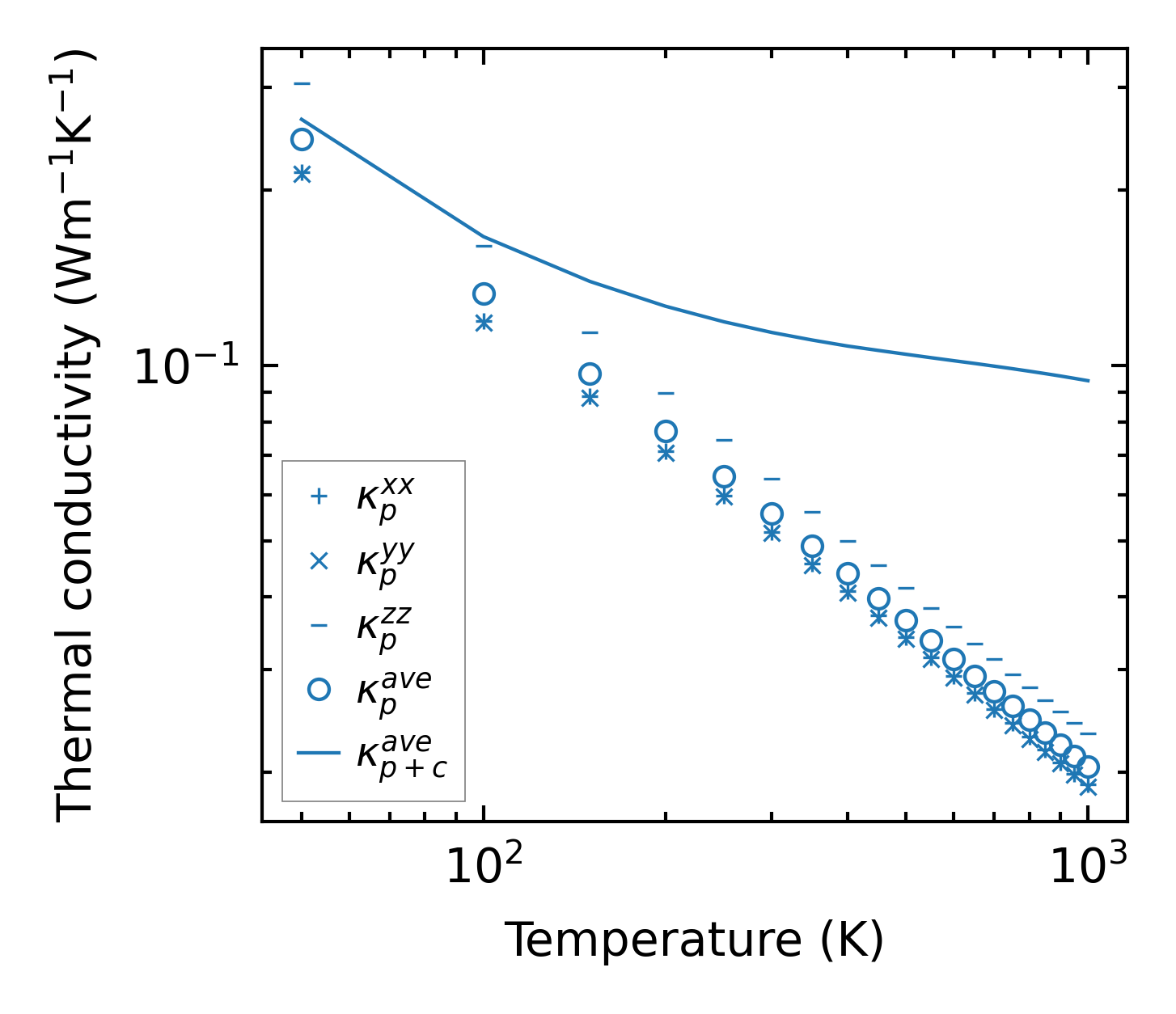
../../_images/fig_kappa9887.png

(a) Temperature-dependent lattice thermal conductivity

../../_images/fig_times21544.png

(b) Computation time