mp-23189/BI3/anharm

Harmonic properties

../../_images/fig_bandos_pr12938.png

(a) Phonon dispersion with participation ratio and DOS

../../_images/fig_thermo12938.png

(b) Thermodynamic properties

Grüneisen parameters

../../_images/fig_gru_all5371.png

(a) Grüneisen parameters

../../_images/fig_gruneisen5371.png

(b) Phonon dispersion with Grüneisen parameters

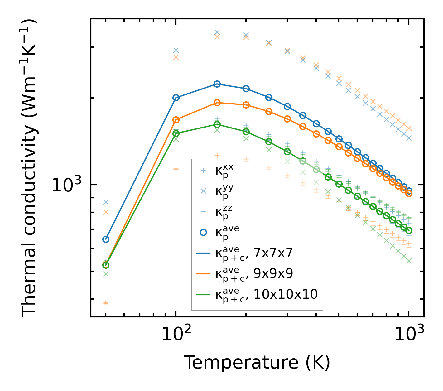
Thermal conductivity

3-phonon (LASSO) — q-mesh: 10x10x10, supercell: 3x2x3

../../_images/fig_kappa10089.png

(a) Temperature-dependent lattice thermal conductivity

../../_images/fig_kappa_vs_grain_size5435.png

(b) Peierls lattice thermal conductivity w.r.t grain size

Phonon lifetime and scattering rates

../../_images/fig_lifetime5319.png

(a) Phonon lifetime due to phonon-phonon scattering

../../_images/fig_scat_rates5318.png

(b) Phonon scattering rates

Cumulative and spectral thermal conductivity

../../_images/fig_cumu_frequency5319.png

(a) Spectral and cumulative thermal conductivity w.r.t frequency

../../_images/fig_cumu_mfp5318.png

(b) Spectral and cumulative thermal conductivity w.r.t MFP

Force constants

../../_images/fig_fc212631.png

(a) Force constants w.r.t atomic distance

Summary

../../_images/fig_kappa10090.png

(a) Temperature-dependent lattice thermal conductivity

../../_images/fig_times21893.png

(b) Computation time