mp-23897-2/Rb3HSe2O8/harm

Equation of state

../../_images/fig_bm6239.png

(a) Equation of state

Harmonic properties

../../_images/fig_bandos_pr12545.png

(a) Phonon dispersion with participation ratio and DOS

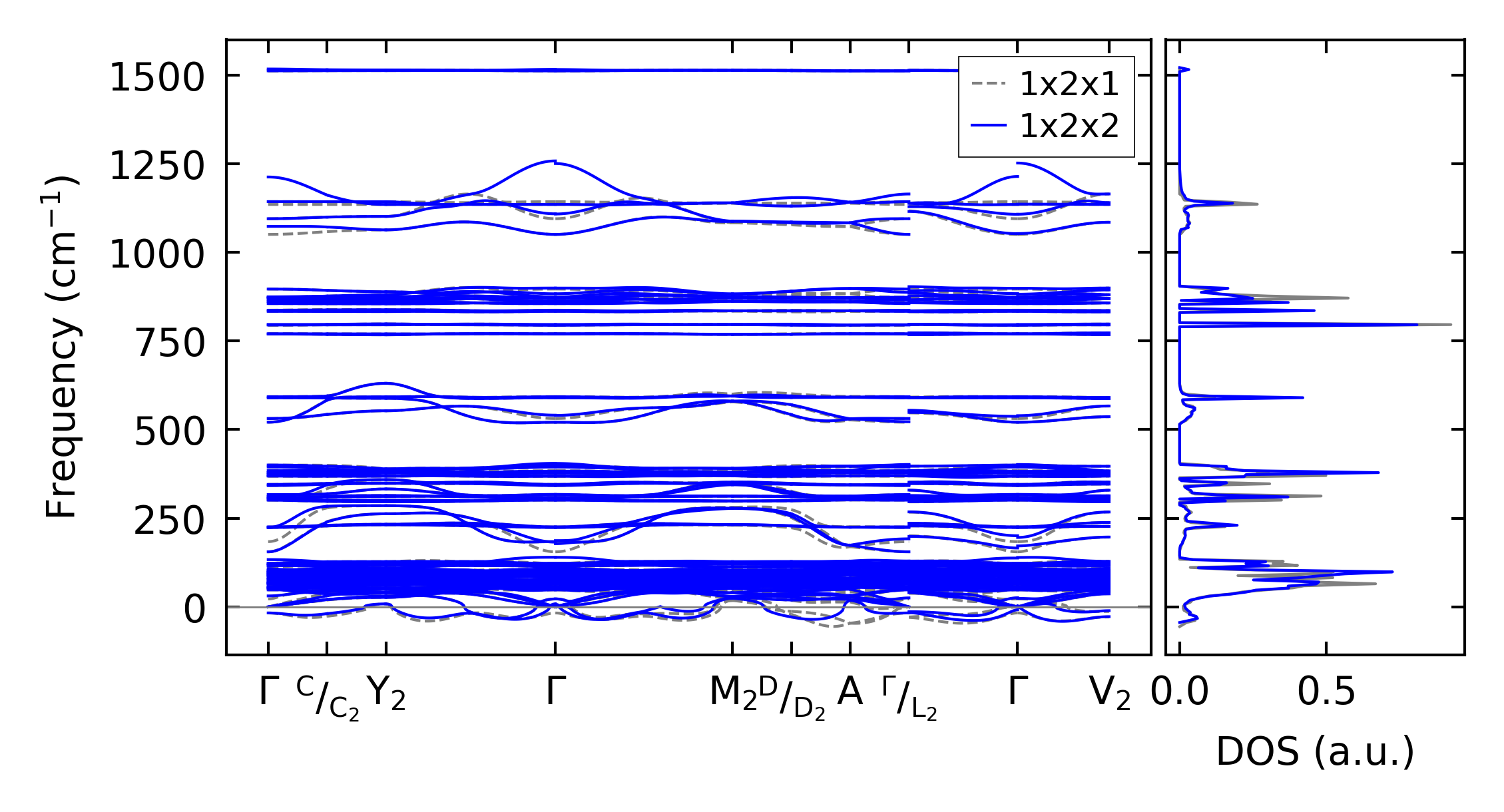
../../_images/fig_bandos16881.png

(b) Phonon dispersion and DOS

../../_images/fig_thermo12545.png

(c) Thermodynamic properties

Force constants

../../_images/fig_fc212243.png

(a) Force constants w.r.t atomic distance

Summary

../../_images/fig_times21322.png

(a) Computation time