mp-23559/InI3O9/harm

Harmonic properties

../../_images/fig_bandos_pr12744.png

(a) Phonon dispersion with participation ratio and DOS

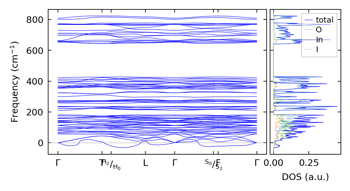
../../_images/fig_bandos17130.png

(b) Phonon dispersion and DOS

../../_images/fig_thermo12744.png

(c) Thermodynamic properties

Force constants

../../_images/fig_fc212440.png

(a) Force constants w.r.t atomic distance

Summary

../../_images/fig_times21627.png

(a) Computation time