mp-23859/CaHCl/anharm

Harmonic properties

../../_images/fig_bandos_pr12524.png

(a) Phonon dispersion with participation ratio and DOS

../../_images/fig_thermo12524.png

(b) Thermodynamic properties

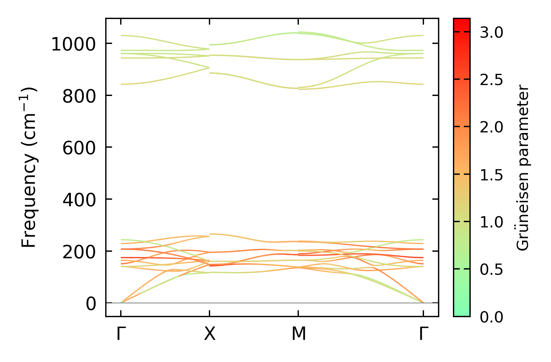
Grüneisen parameters

../../_images/fig_gru_all5200.png

(a) Grüneisen parameters

../../_images/fig_gruneisen5200.png

(b) Phonon dispersion with Grüneisen parameters

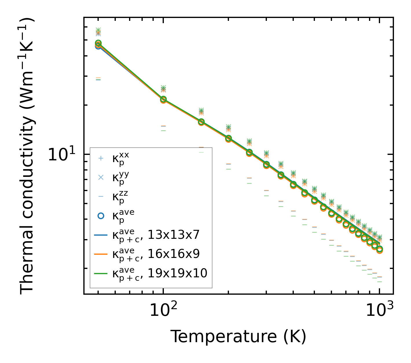
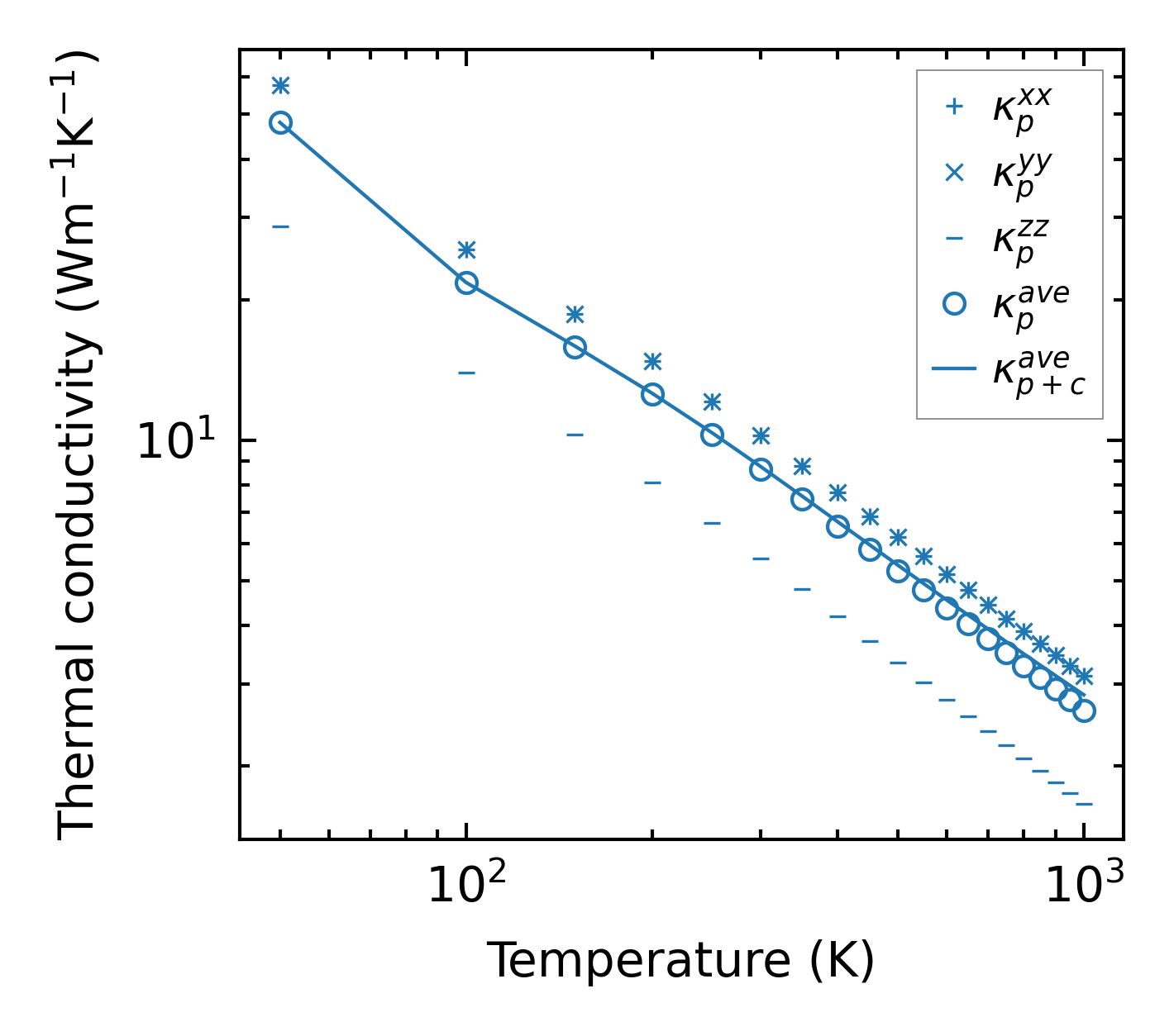
Thermal conductivity

3-phonon (LASSO) — q-mesh: 19x19x10, supercell: 3x3x2

../../_images/fig_kappa9781.png

(a) Temperature-dependent lattice thermal conductivity

../../_images/fig_kappa_vs_grain_size5262.png

(b) Peierls lattice thermal conductivity w.r.t grain size

Phonon lifetime and scattering rates

../../_images/fig_lifetime5149.png

(a) Phonon lifetime due to phonon-phonon scattering

../../_images/fig_scat_rates5148.png

(b) Phonon scattering rates

Cumulative and spectral thermal conductivity

../../_images/fig_cumu_frequency5149.png

(a) Spectral and cumulative thermal conductivity w.r.t frequency

../../_images/fig_cumu_mfp5148.png

(b) Spectral and cumulative thermal conductivity w.r.t MFP

Force constants

../../_images/fig_fc212223.png

(a) Force constants w.r.t atomic distance

Summary

../../_images/fig_kappa9782.png

(a) Temperature-dependent lattice thermal conductivity

../../_images/fig_times21293.png

(b) Computation time