mp-23270/Th3Bi4/anharm

Harmonic properties

../../_images/fig_bandos_pr12973.png

(a) Phonon dispersion with participation ratio and DOS

../../_images/fig_thermo12973.png

(b) Thermodynamic properties

Grüneisen parameters

../../_images/fig_gru_all5396.png

(a) Grüneisen parameters

../../_images/fig_gruneisen5396.png

(b) Phonon dispersion with Grüneisen parameters

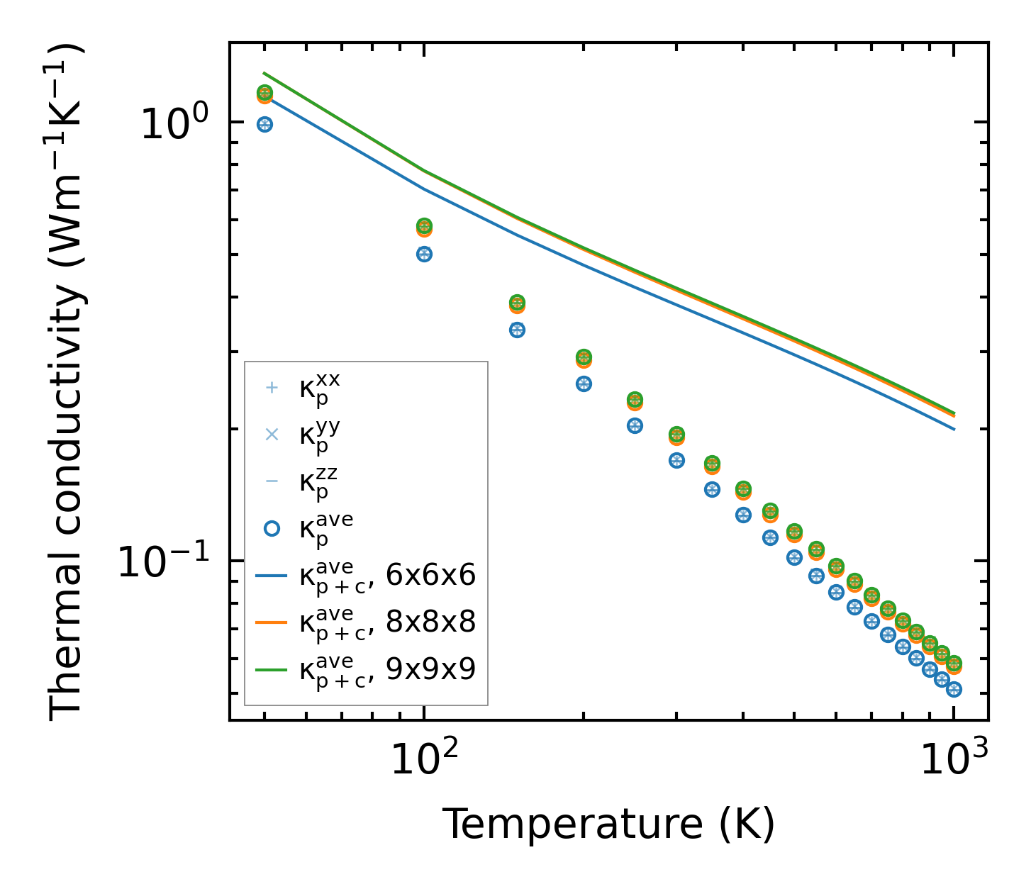
Thermal conductivity

3-phonon — q-mesh: 9x9x9, supercell: 1x1x1

../../_images/fig_kappa10136.png

(a) Temperature-dependent lattice thermal conductivity

../../_images/fig_kappa_vs_grain_size5460.png

(b) Peierls lattice thermal conductivity w.r.t grain size

Phonon lifetime and scattering rates

../../_images/fig_lifetime5344.png

(a) Phonon lifetime due to phonon-phonon scattering

../../_images/fig_scat_rates5343.png

(b) Phonon scattering rates

Cumulative and spectral thermal conductivity

../../_images/fig_cumu_frequency5344.png

(a) Spectral and cumulative thermal conductivity w.r.t frequency

../../_images/fig_cumu_mfp5343.png

(b) Spectral and cumulative thermal conductivity w.r.t MFP

Force constants

../../_images/fig_fc3314.png

(a) Force constants w.r.t atomic distance

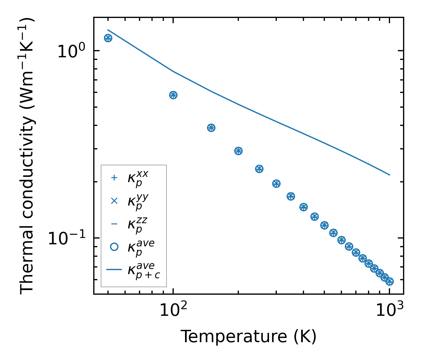
Summary

../../_images/fig_kappa10137.png

(a) Temperature-dependent lattice thermal conductivity

../../_images/fig_times21941.png

(b) Computation time