mp-23332-2/BiPO4/anharm

Equation of state

../../_images/fig_bm6491.png

(a) Equation of state

Harmonic properties

../../_images/fig_bandos_pr13002.png

(a) Phonon dispersion with participation ratio and DOS

../../_images/fig_thermo13002.png

(b) Thermodynamic properties

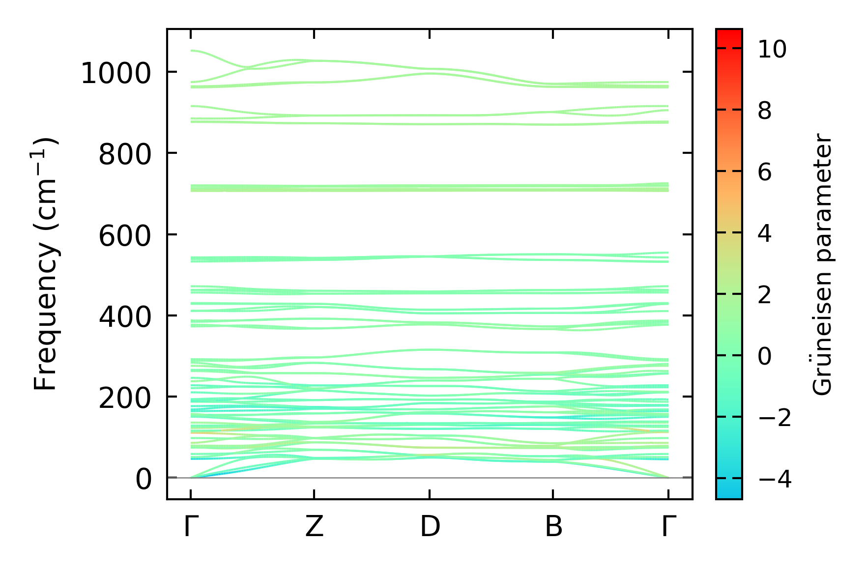
Grüneisen parameters

../../_images/fig_gru_all5412.png

(a) Grüneisen parameters

../../_images/fig_gruneisen5412.png

(b) Phonon dispersion with Grüneisen parameters

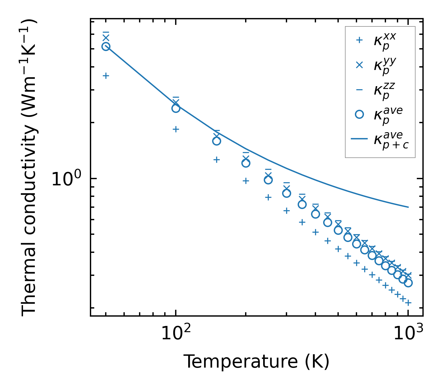
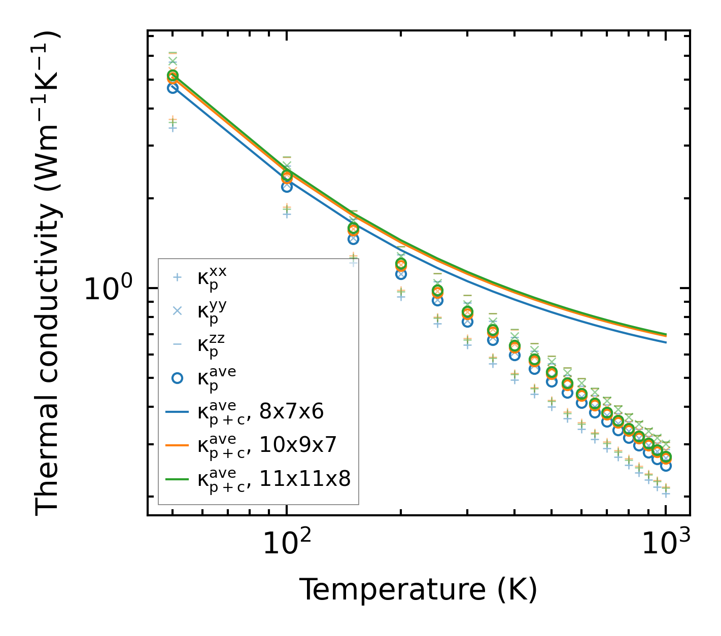
Thermal conductivity

3-phonon (LASSO) — q-mesh: 11x11x8, supercell: 2x2x1

../../_images/fig_kappa10165.png

(a) Temperature-dependent lattice thermal conductivity

../../_images/fig_kappa_vs_grain_size5476.png

(b) Peierls lattice thermal conductivity w.r.t grain size

Phonon lifetime and scattering rates

../../_images/fig_lifetime5360.png

(a) Phonon lifetime due to phonon-phonon scattering

../../_images/fig_scat_rates5359.png

(b) Phonon scattering rates

Cumulative and spectral thermal conductivity

../../_images/fig_cumu_frequency5360.png

(a) Spectral and cumulative thermal conductivity w.r.t frequency

../../_images/fig_cumu_mfp5359.png

(b) Spectral and cumulative thermal conductivity w.r.t MFP

Force constants

../../_images/fig_fc212683.png

(a) Force constants w.r.t atomic distance

Summary

../../_images/fig_kappa10166.png

(a) Temperature-dependent lattice thermal conductivity

../../_images/fig_times21981.png

(b) Computation time