mp-23066-2/Pb5S2I6/anharm

Equation of state

../../_images/fig_bm6419.png

(a) Equation of state

Harmonic properties

../../_images/fig_bandos_pr12859.png

(a) Phonon dispersion with participation ratio and DOS

../../_images/fig_thermo12859.png

(b) Thermodynamic properties

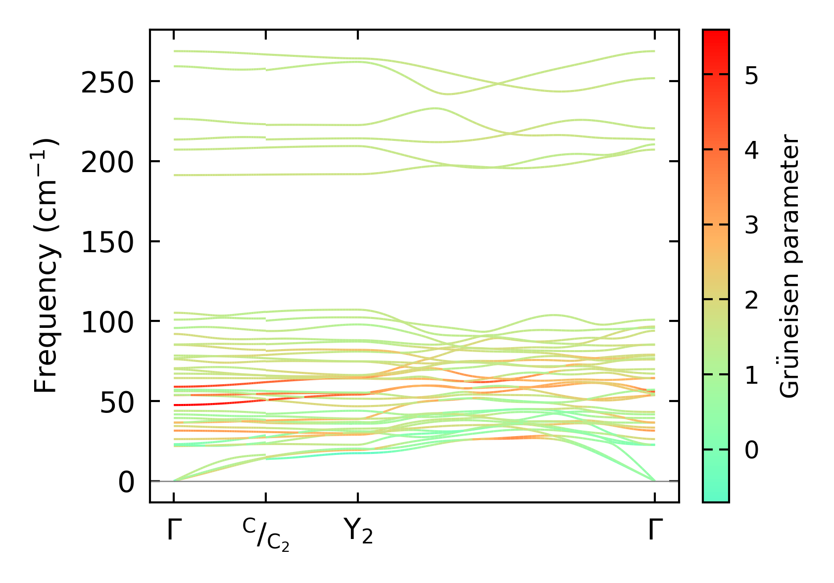
Grüneisen parameters

../../_images/fig_gru_all5334.png

(a) Grüneisen parameters

../../_images/fig_gruneisen5334.png

(b) Phonon dispersion with Grüneisen parameters

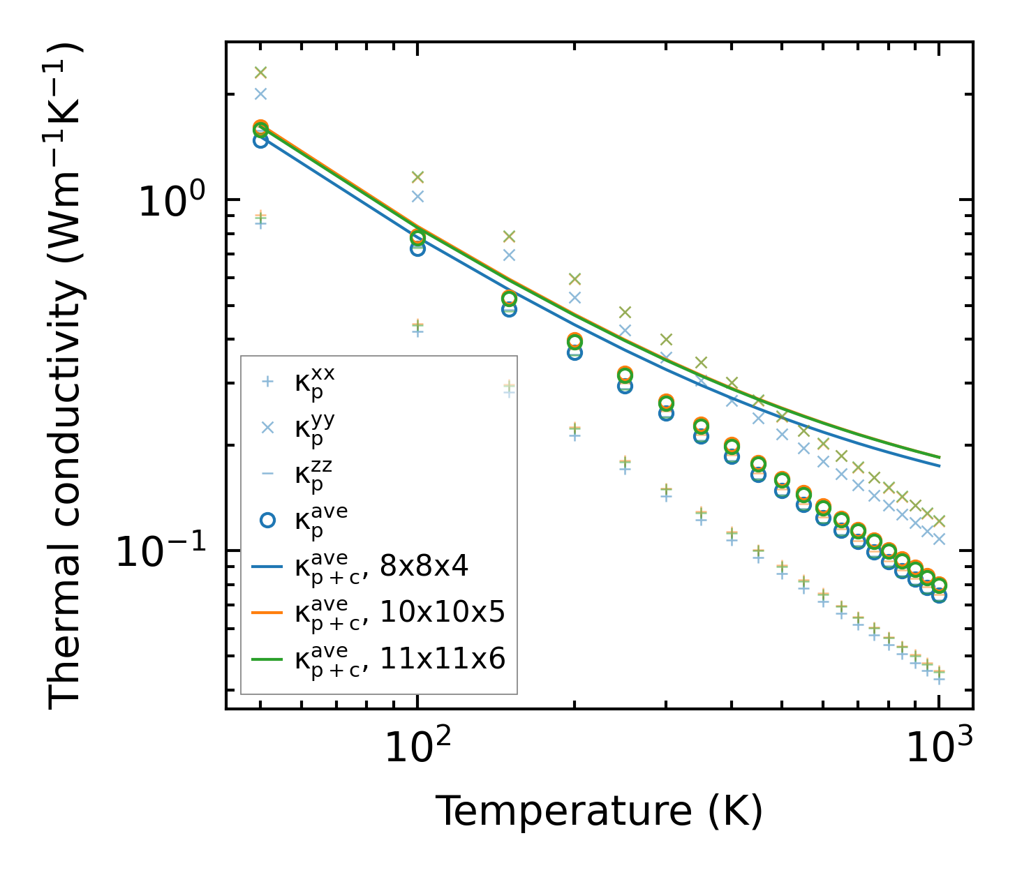
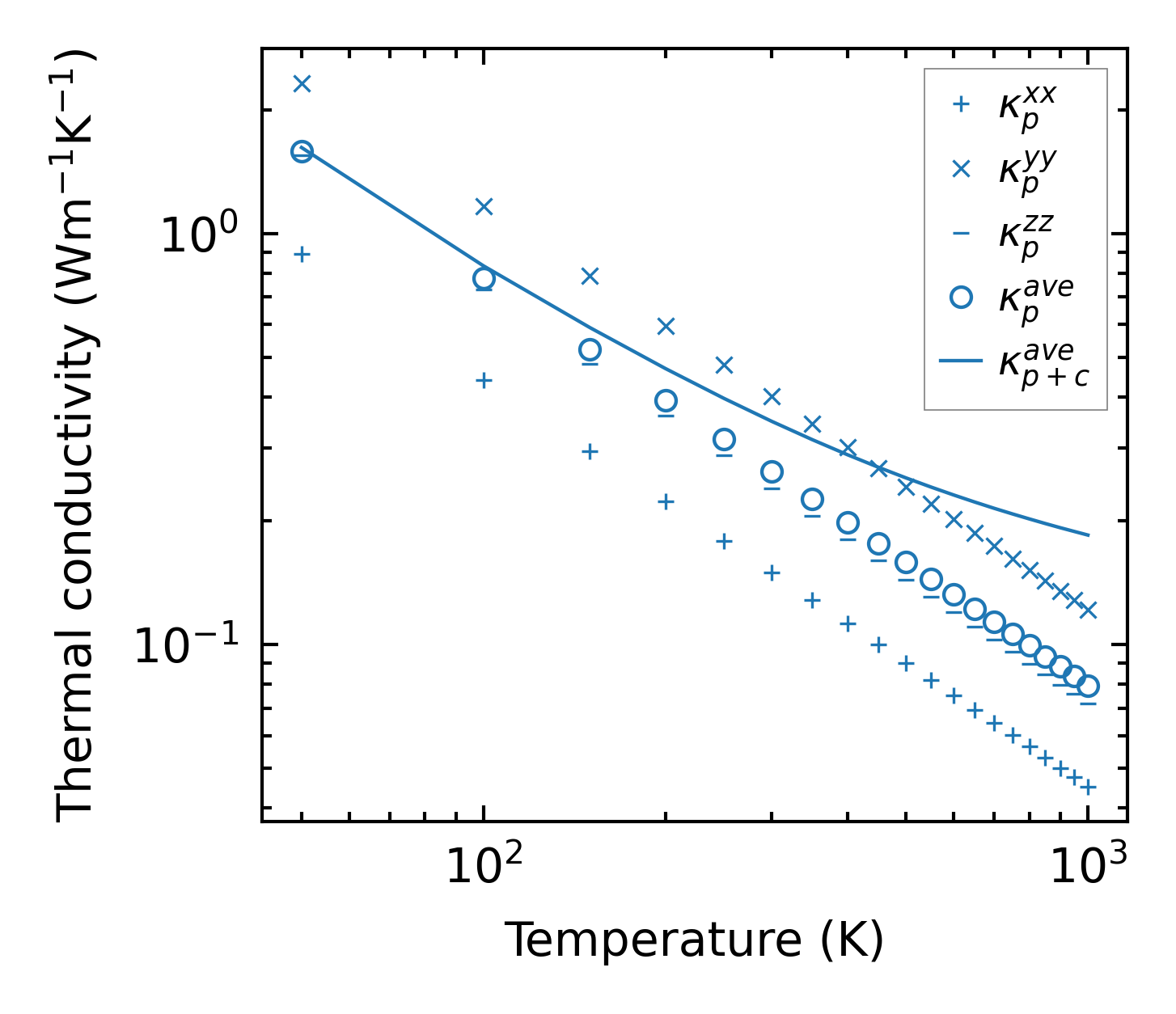
Thermal conductivity

3-phonon (LASSO) — q-mesh: 11x11x6, supercell: 1x4x1

../../_images/fig_kappa10022.png

(a) Temperature-dependent lattice thermal conductivity

../../_images/fig_kappa_vs_grain_size5398.png

(b) Peierls lattice thermal conductivity w.r.t grain size

Phonon lifetime and scattering rates

../../_images/fig_lifetime5283.png

(a) Phonon lifetime due to phonon-phonon scattering

../../_images/fig_scat_rates5282.png

(b) Phonon scattering rates

Cumulative and spectral thermal conductivity

../../_images/fig_cumu_frequency5283.png

(a) Spectral and cumulative thermal conductivity w.r.t frequency

../../_images/fig_cumu_mfp5282.png

(b) Spectral and cumulative thermal conductivity w.r.t MFP

Force constants

../../_images/fig_fc212555.png

(a) Force constants w.r.t atomic distance

Summary

../../_images/fig_kappa10023.png

(a) Temperature-dependent lattice thermal conductivity

../../_images/fig_times21780.png

(b) Computation time