mp-23496-2/CsAg2I3/anharm

Equation of state

../../_images/fig_bm6339.png

(a) Equation of state

Harmonic properties

../../_images/fig_bandos_pr12710.png

(a) Phonon dispersion with participation ratio and DOS

../../_images/fig_bandos17088.png

(b) Phonon dispersion and DOS

../../_images/fig_thermo12710.png

(c) Thermodynamic properties

Grüneisen parameters

../../_images/fig_gru_all5270.png

(a) Grüneisen parameters

../../_images/fig_gruneisen5270.png

(b) Phonon dispersion with Grüneisen parameters

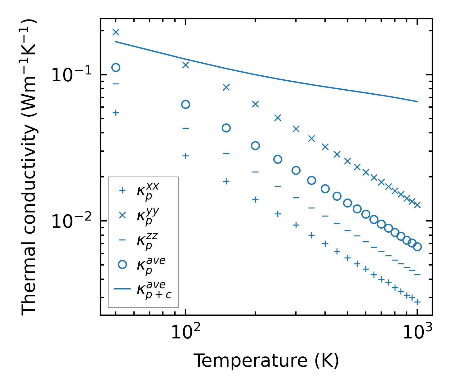
Thermal conductivity

3-phonon (LASSO), supercell 2x3x2 — q-mesh: 5x12x6, supercell: 2x3x2

../../_images/fig_kappa9905.png

(a) Temperature-dependent lattice thermal conductivity

../../_images/fig_kappa_vs_grain_size5332.png

(b) Peierls lattice thermal conductivity w.r.t grain size

Phonon lifetime and scattering rates

../../_images/fig_lifetime5219.png

(a) Phonon lifetime due to phonon-phonon scattering

../../_images/fig_scat_rates5218.png

(b) Phonon scattering rates

Cumulative and spectral thermal conductivity

../../_images/fig_cumu_frequency5219.png

(a) Spectral and cumulative thermal conductivity w.r.t frequency

../../_images/fig_cumu_mfp5218.png

(b) Spectral and cumulative thermal conductivity w.r.t MFP

Force constants

../../_images/fig_fc212406.png

(a) Force constants w.r.t atomic distance

Summary

../../_images/fig_times21577.png

(a) Computation time