mp-23979/K3HSe2O8/harm

Harmonic properties

../../_images/fig_bandos_pr12586.png

(a) Phonon dispersion with participation ratio and DOS

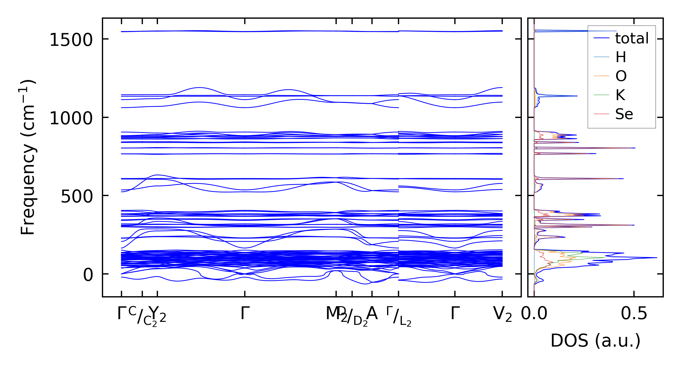
../../_images/fig_bandos16934.png

(b) Phonon dispersion and DOS

../../_images/fig_thermo12586.png

(c) Thermodynamic properties

Force constants

../../_images/fig_fc212284.png

(a) Force constants w.r.t atomic distance

Summary

../../_images/fig_times21384.png

(a) Computation time