mp-23922-2/HN/anharm

Equation of state

../../_images/fig_bm6245.png

(a) Equation of state

Harmonic properties

../../_images/fig_bandos_pr12555.png

(a) Phonon dispersion with participation ratio and DOS

../../_images/fig_thermo12555.png

(b) Thermodynamic properties

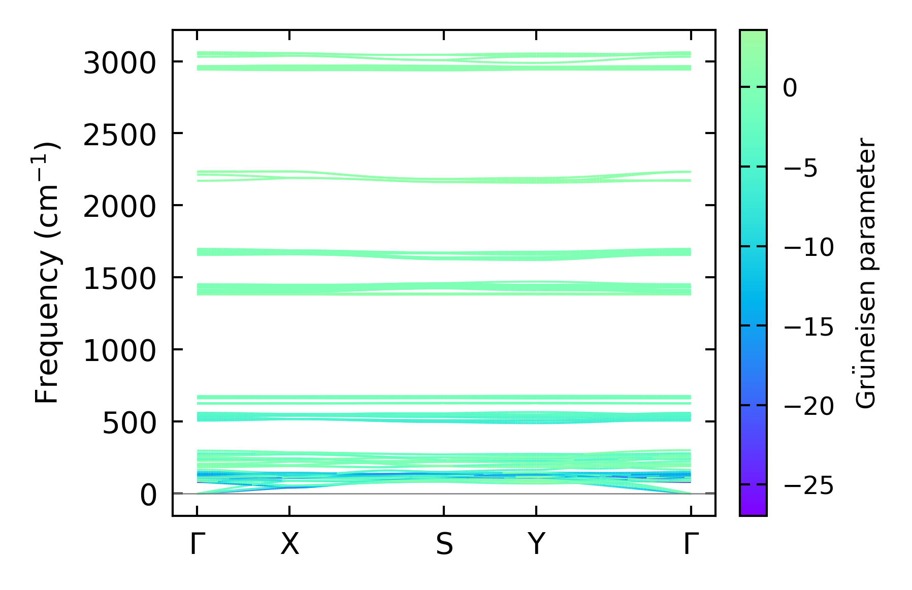
Grüneisen parameters

../../_images/fig_gru_all5208.png

(a) Grüneisen parameters

../../_images/fig_gruneisen5208.png

(b) Phonon dispersion with Grüneisen parameters

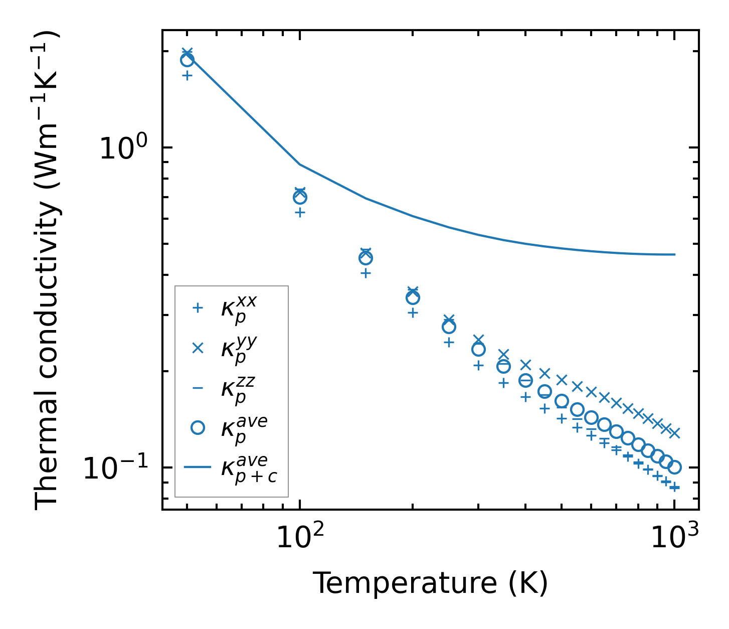
Thermal conductivity

3-phonon (LASSO) — q-mesh: 8x19x8, supercell: 1x3x1

../../_images/fig_kappa9797.png

(a) Temperature-dependent lattice thermal conductivity

../../_images/fig_kappa_vs_grain_size5270.png

(b) Peierls lattice thermal conductivity w.r.t grain size

Phonon lifetime and scattering rates

../../_images/fig_lifetime5157.png

(a) Phonon lifetime due to phonon-phonon scattering

../../_images/fig_scat_rates5156.png

(b) Phonon scattering rates

Cumulative and spectral thermal conductivity

../../_images/fig_cumu_frequency5157.png

(a) Spectral and cumulative thermal conductivity w.r.t frequency

../../_images/fig_cumu_mfp5156.png

(b) Spectral and cumulative thermal conductivity w.r.t MFP

Force constants

../../_images/fig_fc212253.png

(a) Force constants w.r.t atomic distance

Summary

../../_images/fig_kappa9798.png

(a) Temperature-dependent lattice thermal conductivity

../../_images/fig_times21338.png

(b) Computation time