mp-23177-2/HgBr/anharm

Equation of state

../../_images/fig_bm6462.png

(a) Equation of state

Harmonic properties

../../_images/fig_bandos_pr12931.png

(a) Phonon dispersion with participation ratio and DOS

../../_images/fig_thermo12931.png

(b) Thermodynamic properties

Grüneisen parameters

../../_images/fig_gru_all5368.png

(a) Grüneisen parameters

../../_images/fig_gruneisen5368.png

(b) Phonon dispersion with Grüneisen parameters

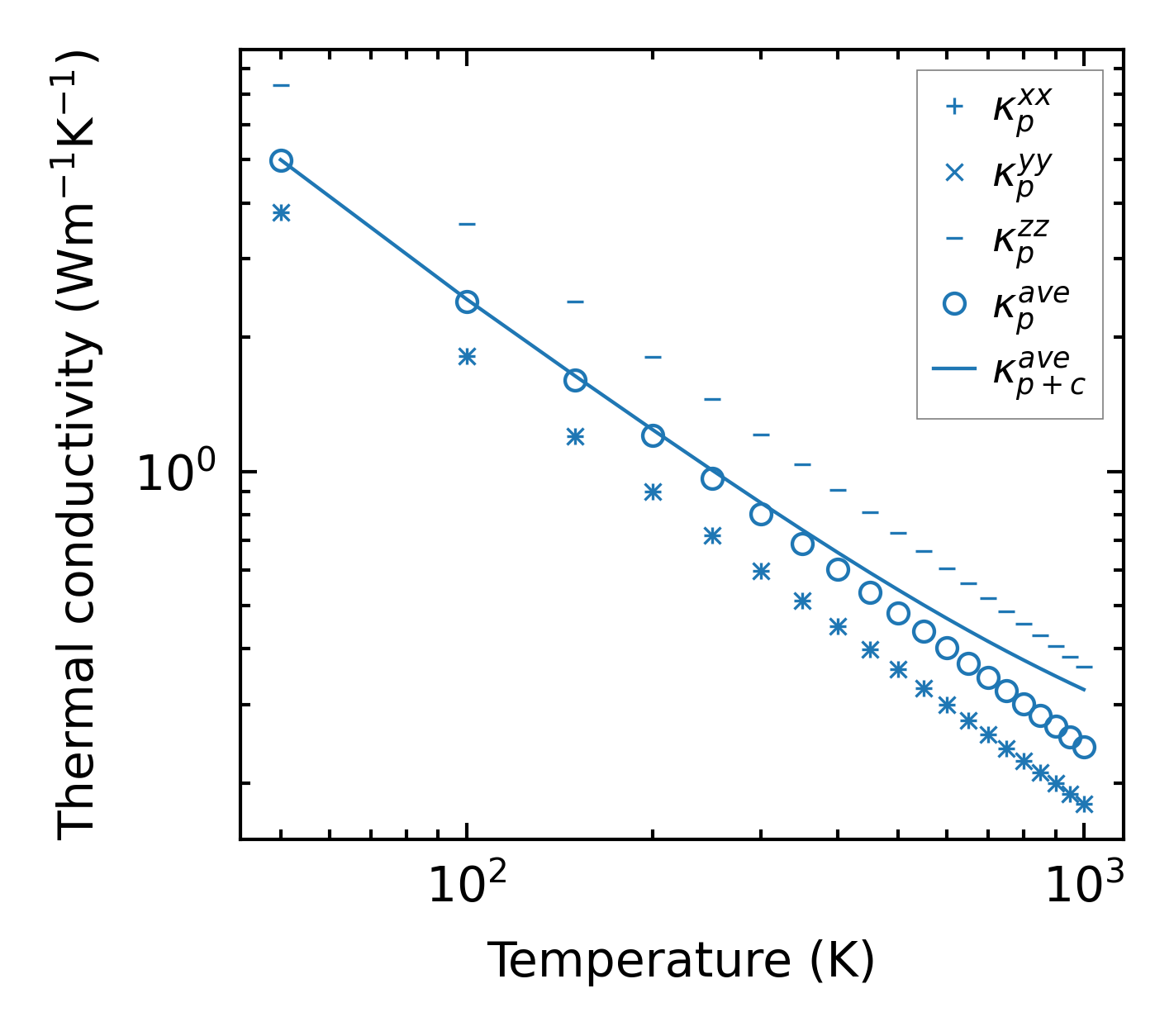
Thermal conductivity

3-phonon — q-mesh: 14x14x14, supercell: 3x3x2

../../_images/fig_kappa10083.png

(a) Temperature-dependent lattice thermal conductivity

../../_images/fig_kappa_vs_grain_size5432.png

(b) Peierls lattice thermal conductivity w.r.t grain size

Phonon lifetime and scattering rates

../../_images/fig_lifetime5316.png

(a) Phonon lifetime due to phonon-phonon scattering

../../_images/fig_scat_rates5315.png

(b) Phonon scattering rates

Cumulative and spectral thermal conductivity

../../_images/fig_cumu_frequency5316.png

(a) Spectral and cumulative thermal conductivity w.r.t frequency

../../_images/fig_cumu_mfp5315.png

(b) Spectral and cumulative thermal conductivity w.r.t MFP

Force constants

../../_images/fig_fc3307.png

(a) Force constants w.r.t atomic distance

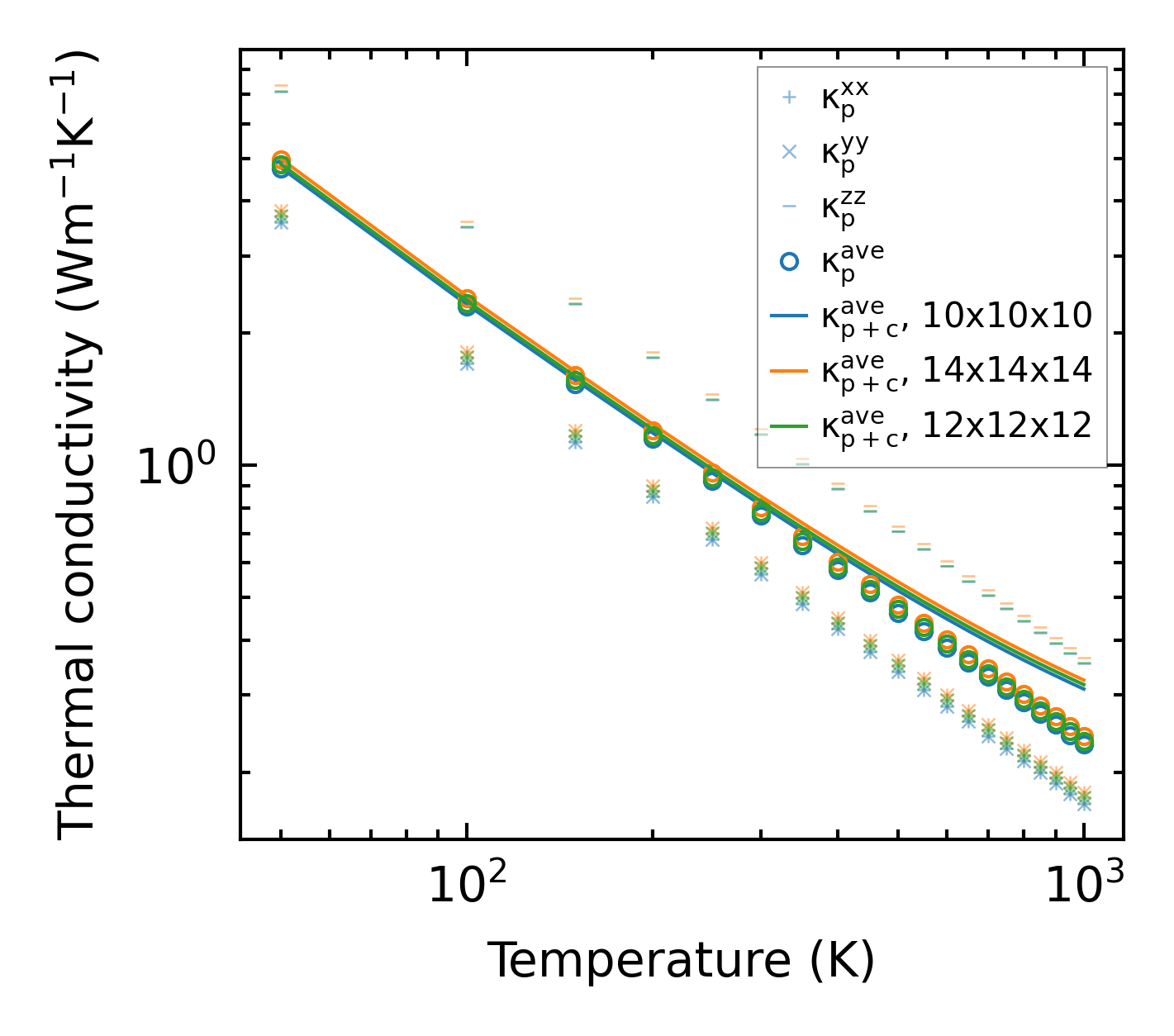
Summary

../../_images/fig_kappa10084.png

(a) Temperature-dependent lattice thermal conductivity

../../_images/fig_times21884.png

(b) Computation time