mp-23110-3/NaHg2IO2/anharm

Equation of state

../../_images/fig_bm6439.png

(a) Equation of state

Harmonic properties

../../_images/fig_bandos_pr12888.png

(a) Phonon dispersion with participation ratio and DOS

../../_images/fig_bandos17281.png

(b) Phonon dispersion and DOS

../../_images/fig_thermo12888.png

(c) Thermodynamic properties

Grüneisen parameters

../../_images/fig_gru_all5349.png

(a) Grüneisen parameters

../../_images/fig_gruneisen5349.png

(b) Phonon dispersion with Grüneisen parameters

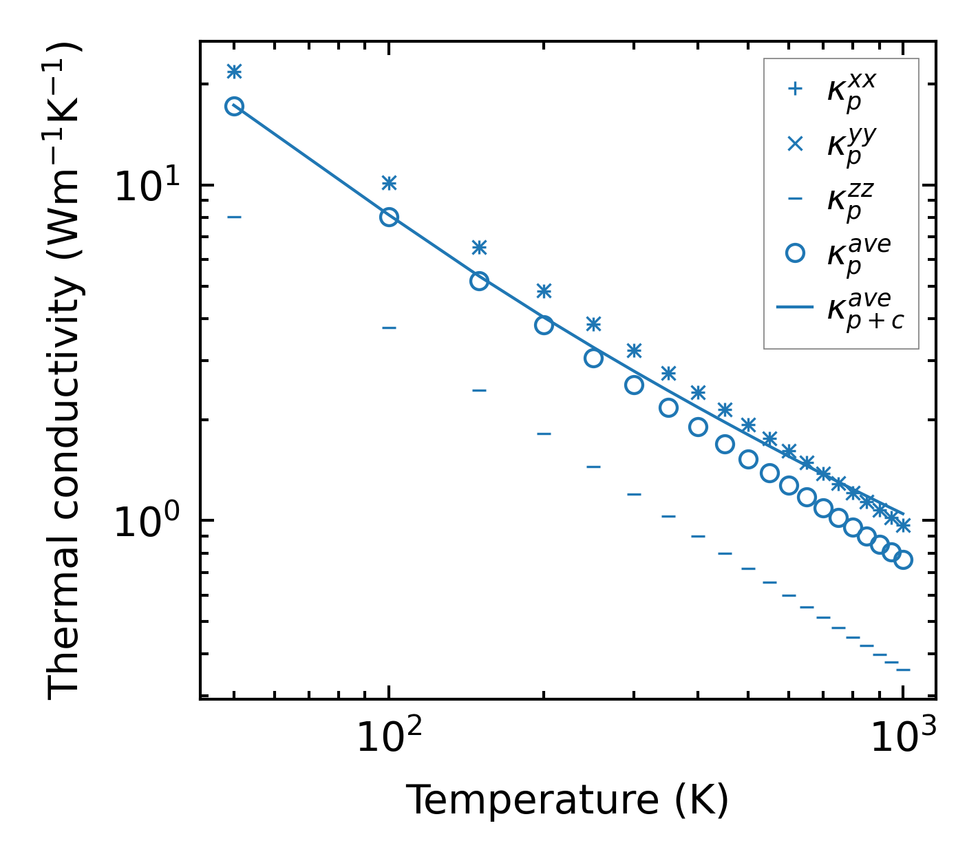
Thermal conductivity

3-phonon (LASSO), supercell 3x3x2 — q-mesh: 11x11x7, supercell: 3x3x2

../../_images/fig_kappa10050.png

(a) Temperature-dependent lattice thermal conductivity

../../_images/fig_kappa_vs_grain_size5414.png

(b) Peierls lattice thermal conductivity w.r.t grain size

Phonon lifetime and scattering rates

../../_images/fig_lifetime5298.png

(a) Phonon lifetime due to phonon-phonon scattering

../../_images/fig_scat_rates5297.png

(b) Phonon scattering rates

Cumulative and spectral thermal conductivity

../../_images/fig_cumu_frequency5298.png

(a) Spectral and cumulative thermal conductivity w.r.t frequency

../../_images/fig_cumu_mfp5297.png

(b) Spectral and cumulative thermal conductivity w.r.t MFP

Force constants

../../_images/fig_fc212584.png

(a) Force constants w.r.t atomic distance

Summary

../../_images/fig_times21826.png

(a) Computation time