mp-23711/MgH2/anharm

Harmonic properties

../../_images/fig_bandos_pr12813.png

(a) Phonon dispersion with participation ratio and DOS

../../_images/fig_thermo12813.png

(b) Thermodynamic properties

Grüneisen parameters

../../_images/fig_gru_all5313.png

(a) Grüneisen parameters

../../_images/fig_gruneisen5313.png

(b) Phonon dispersion with Grüneisen parameters

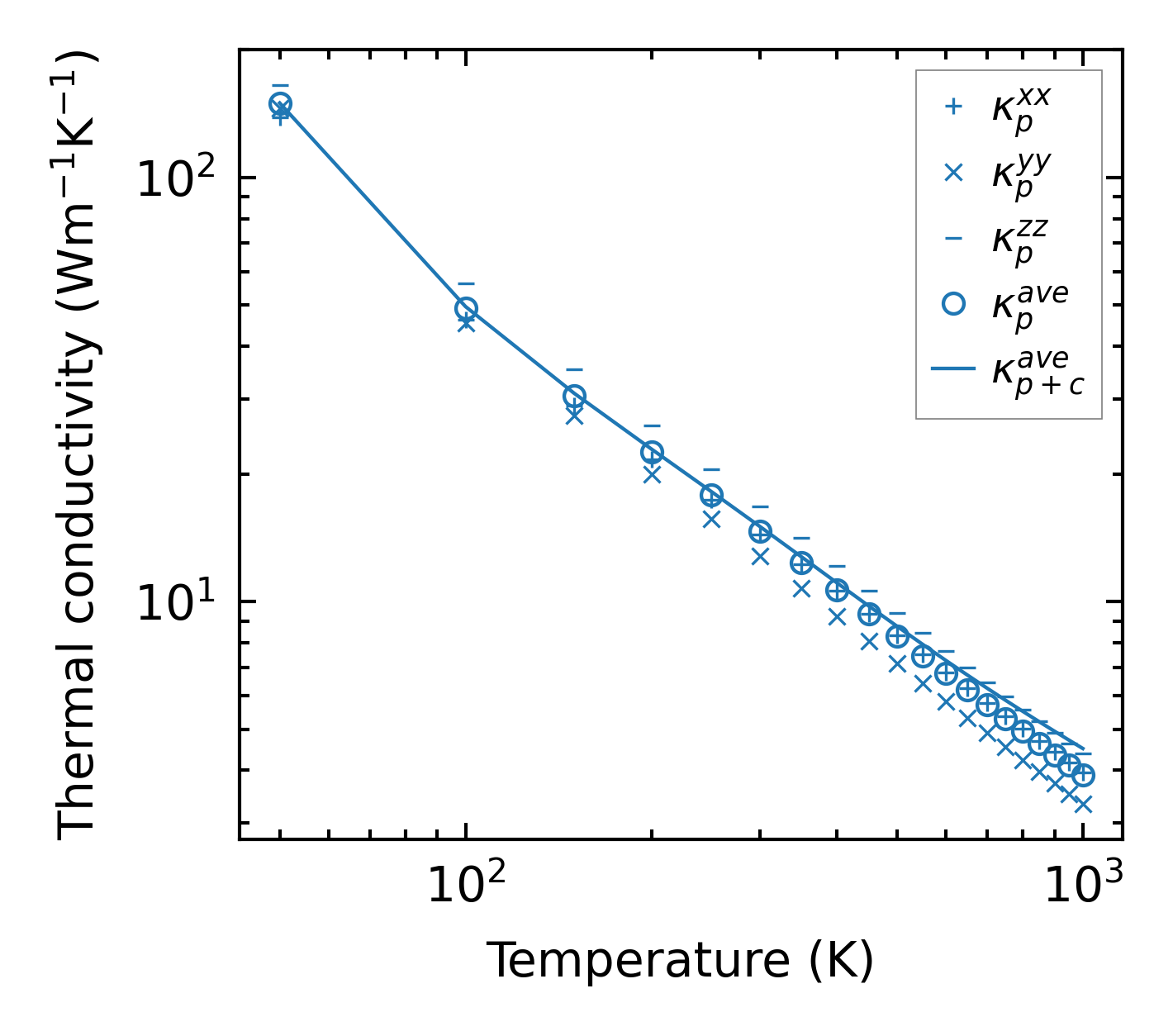
Thermal conductivity

3-phonon (LASSO) — q-mesh: 16x13x14, supercell: 3x2x2

../../_images/fig_kappa9981.png

(a) Temperature-dependent lattice thermal conductivity

../../_images/fig_kappa_vs_grain_size5376.png

(b) Peierls lattice thermal conductivity w.r.t grain size

Phonon lifetime and scattering rates

../../_images/fig_lifetime5262.png

(a) Phonon lifetime due to phonon-phonon scattering

../../_images/fig_scat_rates5261.png

(b) Phonon scattering rates

Cumulative and spectral thermal conductivity

../../_images/fig_cumu_frequency5262.png

(a) Spectral and cumulative thermal conductivity w.r.t frequency

../../_images/fig_cumu_mfp5261.png

(b) Spectral and cumulative thermal conductivity w.r.t MFP

Force constants

../../_images/fig_fc212509.png

(a) Force constants w.r.t atomic distance

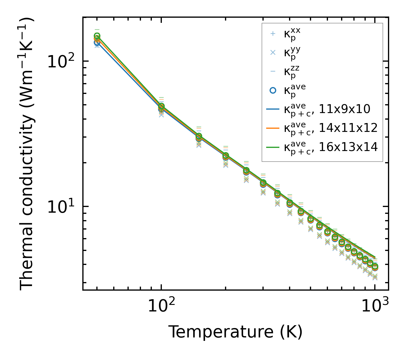
Summary

../../_images/fig_kappa9982.png

(a) Temperature-dependent lattice thermal conductivity

../../_images/fig_times21723.png

(b) Computation time