mp-23302/RbI/anharm

Harmonic properties

../../_images/fig_bandos_pr12986.png

(a) Phonon dispersion with participation ratio and DOS

../../_images/fig_thermo12986.png

(b) Thermodynamic properties

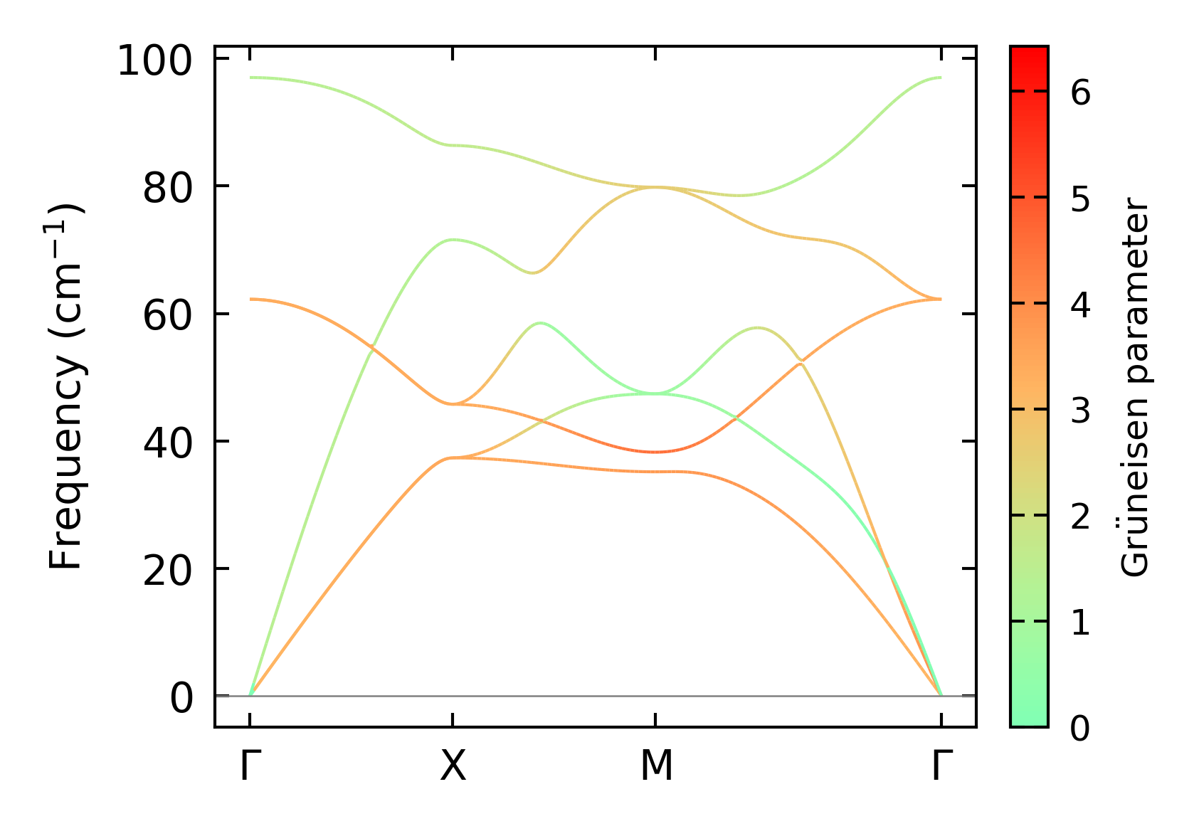
Grüneisen parameters

../../_images/fig_gru_all5404.png

(a) Grüneisen parameters

../../_images/fig_gruneisen5404.png

(b) Phonon dispersion with Grüneisen parameters

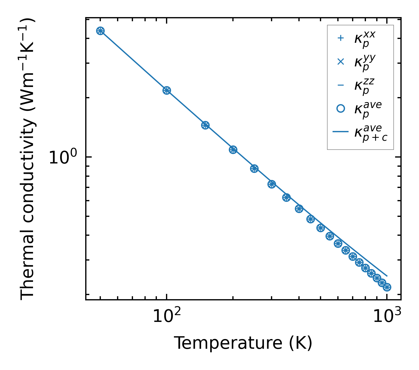
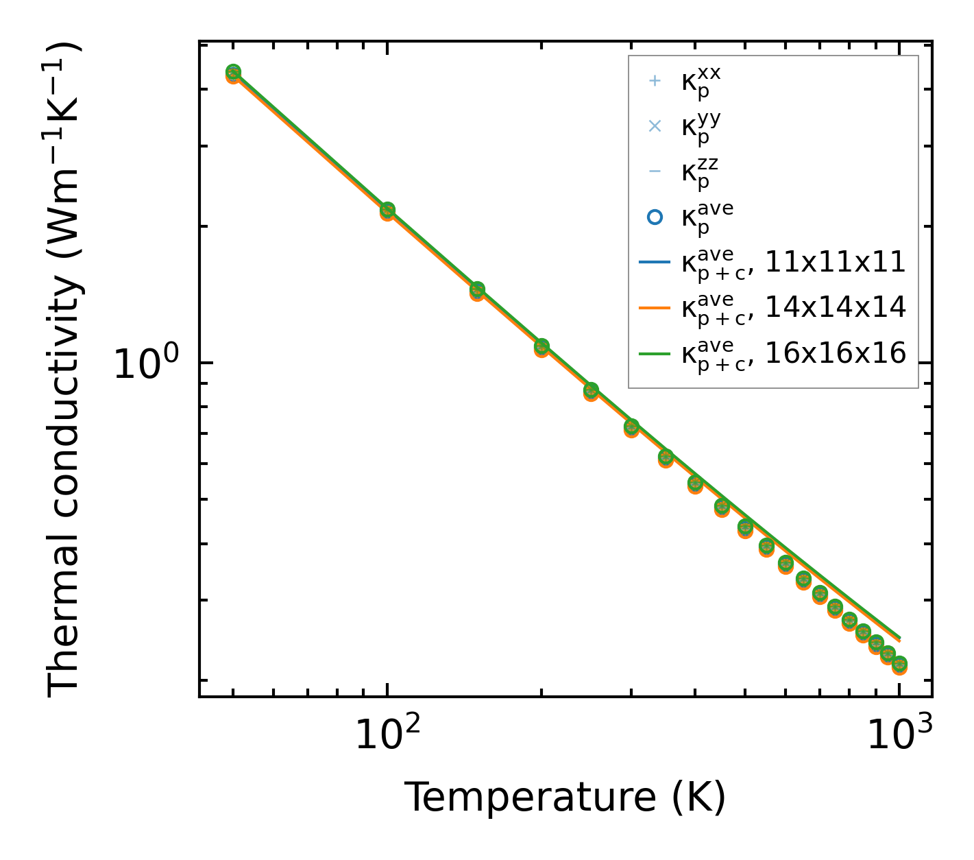
Thermal conductivity

3-phonon — q-mesh: 16x16x16, supercell: 4x4x4

../../_images/fig_kappa10152.png

(a) Temperature-dependent lattice thermal conductivity

../../_images/fig_kappa_vs_grain_size5468.png

(b) Peierls lattice thermal conductivity w.r.t grain size

Phonon lifetime and scattering rates

../../_images/fig_lifetime5352.png

(a) Phonon lifetime due to phonon-phonon scattering

../../_images/fig_scat_rates5351.png

(b) Phonon scattering rates

Cumulative and spectral thermal conductivity

../../_images/fig_cumu_frequency5352.png

(a) Spectral and cumulative thermal conductivity w.r.t frequency

../../_images/fig_cumu_mfp5351.png

(b) Spectral and cumulative thermal conductivity w.r.t MFP

Force constants

../../_images/fig_fc3318.png

(a) Force constants w.r.t atomic distance

Summary

../../_images/fig_kappa10153.png

(a) Temperature-dependent lattice thermal conductivity

../../_images/fig_times21961.png

(b) Computation time