mp-23093/Sr2NdBiO6/anharm

Harmonic properties

../../_images/fig_bandos_pr12874.png

(a) Phonon dispersion with participation ratio and DOS

../../_images/fig_thermo12874.png

(b) Thermodynamic properties

Grüneisen parameters

../../_images/fig_gru_all5341.png

(a) Grüneisen parameters

../../_images/fig_gruneisen5341.png

(b) Phonon dispersion with Grüneisen parameters

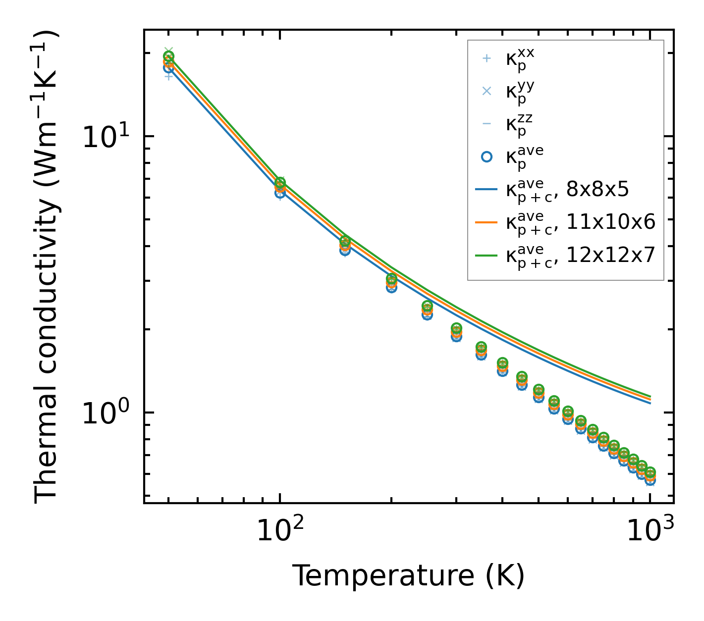
Thermal conductivity

3-phonon (LASSO) — q-mesh: 12x12x7, supercell: 2x2x1

../../_images/fig_kappa10035.png

(a) Temperature-dependent lattice thermal conductivity

../../_images/fig_kappa_vs_grain_size5405.png

(b) Peierls lattice thermal conductivity w.r.t grain size

Phonon lifetime and scattering rates

../../_images/fig_lifetime5290.png

(a) Phonon lifetime due to phonon-phonon scattering

../../_images/fig_scat_rates5289.png

(b) Phonon scattering rates

Cumulative and spectral thermal conductivity

../../_images/fig_cumu_frequency5290.png

(a) Spectral and cumulative thermal conductivity w.r.t frequency

../../_images/fig_cumu_mfp5289.png

(b) Spectral and cumulative thermal conductivity w.r.t MFP

Force constants

../../_images/fig_fc212570.png

(a) Force constants w.r.t atomic distance

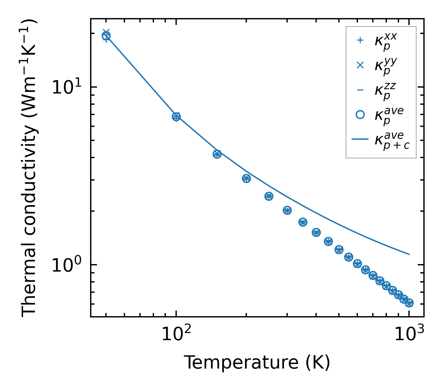
Summary

../../_images/fig_kappa10036.png

(a) Temperature-dependent lattice thermal conductivity

../../_images/fig_times21811.png

(b) Computation time