mp-23454/CsAgBr2/anharm

Harmonic properties

../../_images/fig_bandos_pr12690.png

(a) Phonon dispersion with participation ratio and DOS

../../_images/fig_thermo12690.png

(b) Thermodynamic properties

Grüneisen parameters

../../_images/fig_gru_all5260.png

(a) Grüneisen parameters

../../_images/fig_gruneisen5260.png

(b) Phonon dispersion with Grüneisen parameters

Thermal conductivity

3-phonon (LASSO) — q-mesh: 9x9x16, supercell: 3x1x3

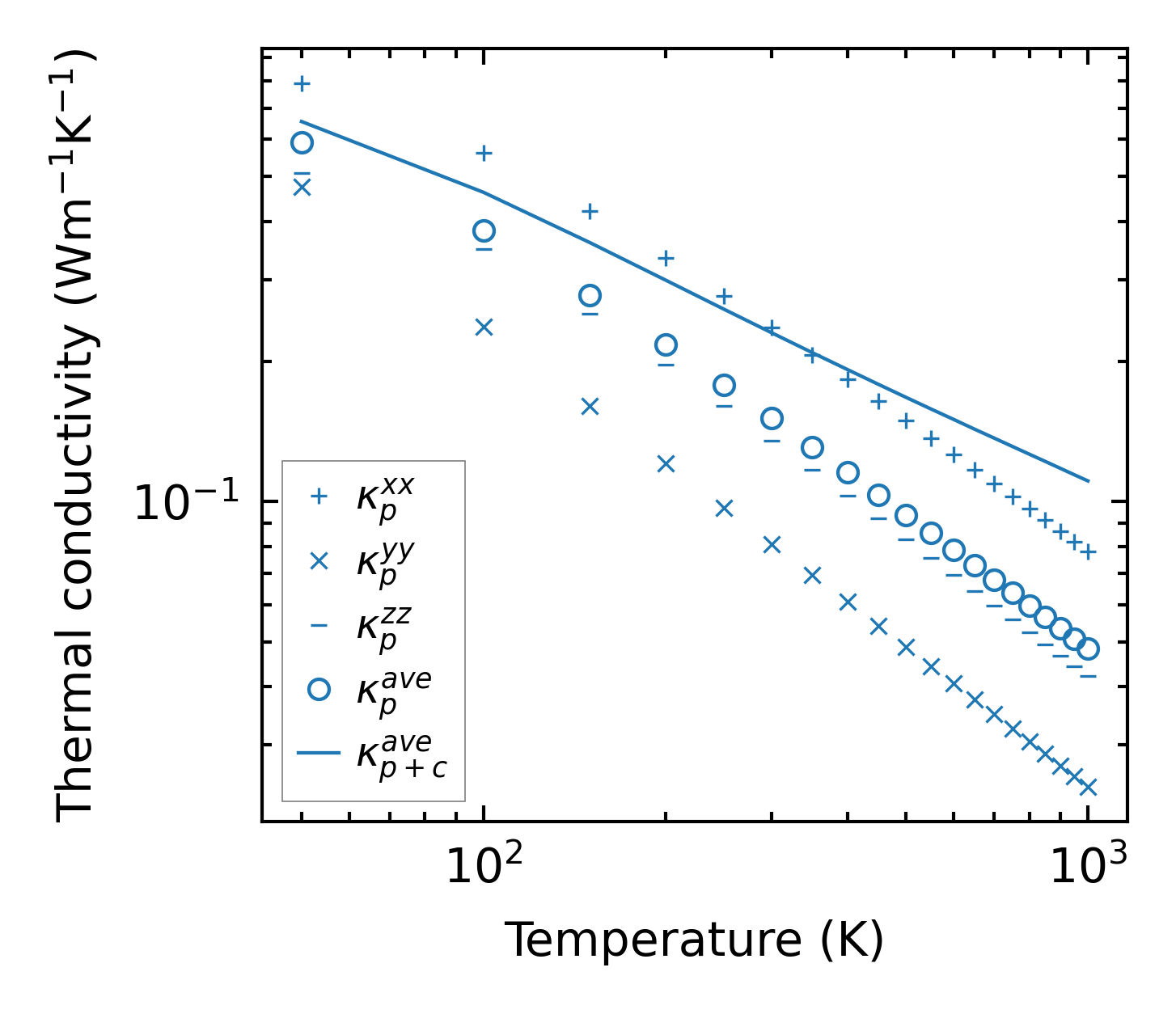
../../_images/fig_kappa9888.png

(a) Temperature-dependent lattice thermal conductivity

../../_images/fig_kappa_vs_grain_size5322.png

(b) Peierls lattice thermal conductivity w.r.t grain size

Phonon lifetime and scattering rates

../../_images/fig_lifetime5209.png

(a) Phonon lifetime due to phonon-phonon scattering

../../_images/fig_scat_rates5208.png

(b) Phonon scattering rates

Cumulative and spectral thermal conductivity

../../_images/fig_cumu_frequency5209.png

(a) Spectral and cumulative thermal conductivity w.r.t frequency

../../_images/fig_cumu_mfp5208.png

(b) Spectral and cumulative thermal conductivity w.r.t MFP

Force constants

../../_images/fig_fc212386.png

(a) Force constants w.r.t atomic distance

Summary

../../_images/fig_kappa9889.png

(a) Temperature-dependent lattice thermal conductivity

../../_images/fig_times21549.png

(b) Computation time