mp-23653/Na3MgC2ClO6/anharm

Harmonic properties

../../_images/fig_bandos_pr12780.png

(a) Phonon dispersion with participation ratio and DOS

../../_images/fig_thermo12780.png

(b) Thermodynamic properties

Grüneisen parameters

../../_images/fig_gru_all5298.png

(a) Grüneisen parameters

../../_images/fig_gruneisen5298.png

(b) Phonon dispersion with Grüneisen parameters

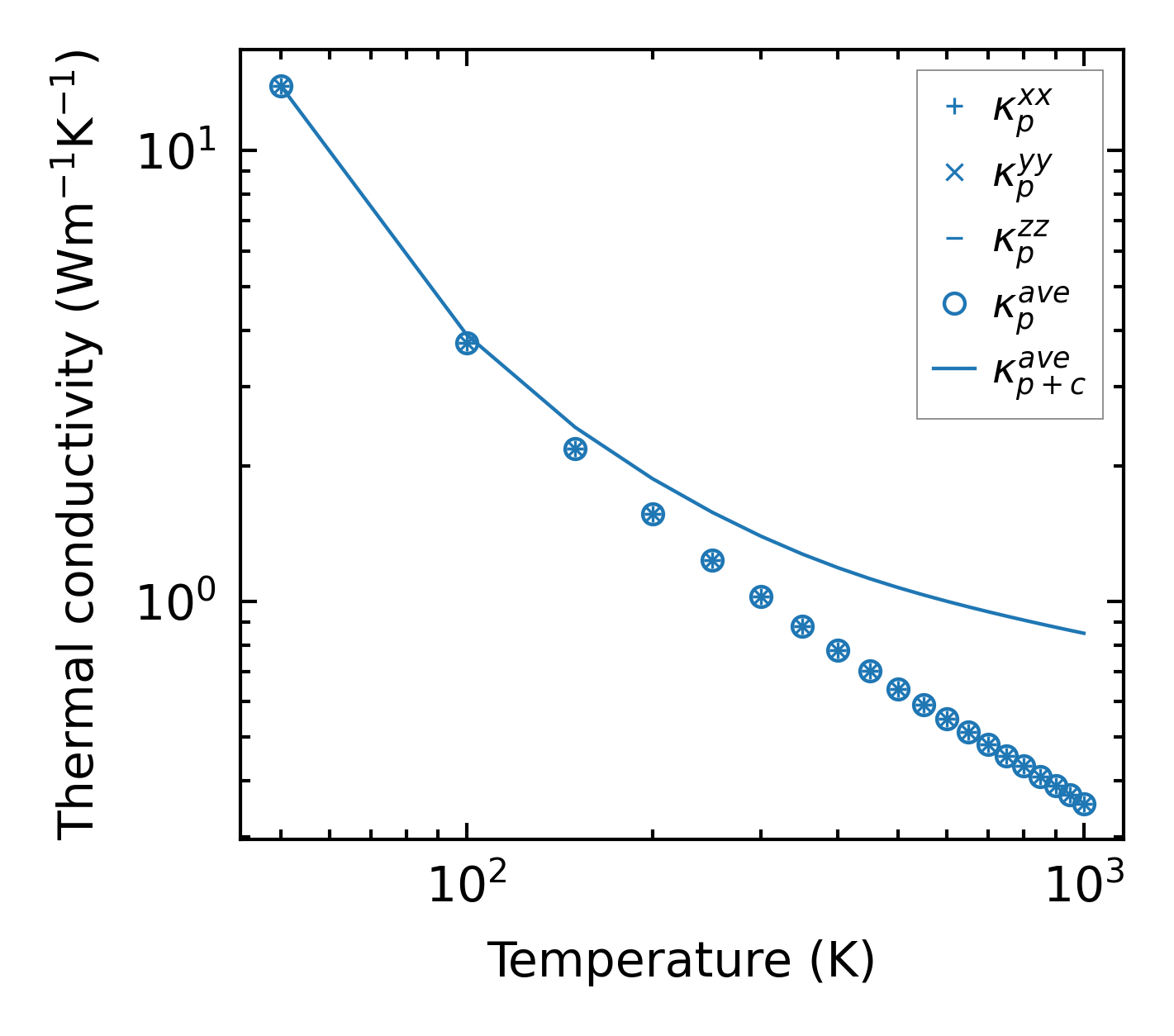
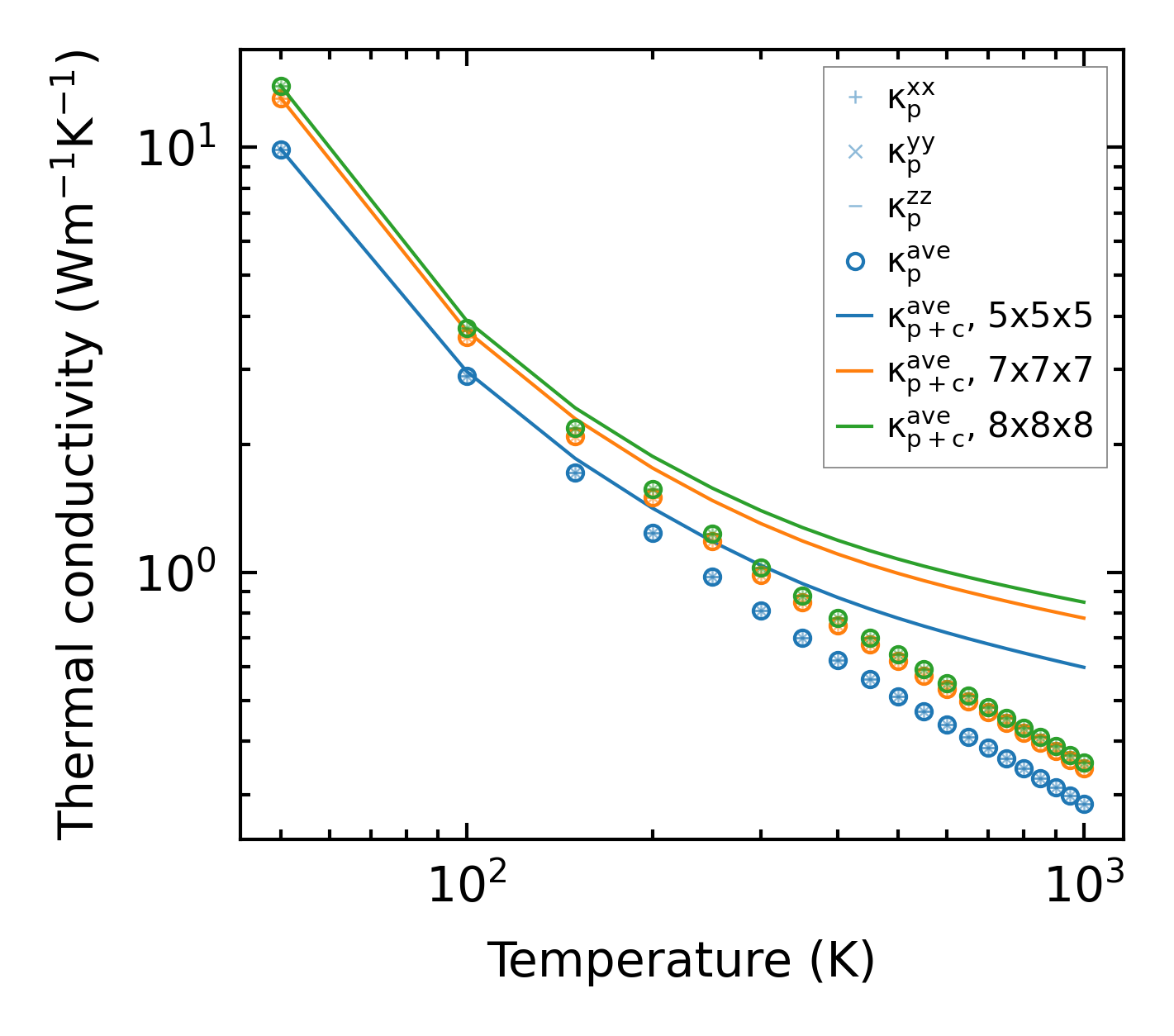
Thermal conductivity

3-phonon (LASSO) — q-mesh: 8x8x8, supercell: 1x1x1

../../_images/fig_kappa9953.png

(a) Temperature-dependent lattice thermal conductivity

../../_images/fig_kappa_vs_grain_size5360.png

(b) Peierls lattice thermal conductivity w.r.t grain size

Phonon lifetime and scattering rates

../../_images/fig_lifetime5247.png

(a) Phonon lifetime due to phonon-phonon scattering

../../_images/fig_scat_rates5246.png

(b) Phonon scattering rates

Cumulative and spectral thermal conductivity

../../_images/fig_cumu_frequency5247.png

(a) Spectral and cumulative thermal conductivity w.r.t frequency

../../_images/fig_cumu_mfp5246.png

(b) Spectral and cumulative thermal conductivity w.r.t MFP

Force constants

../../_images/fig_fc212476.png

(a) Force constants w.r.t atomic distance

Summary

../../_images/fig_kappa9954.png

(a) Temperature-dependent lattice thermal conductivity

../../_images/fig_times21679.png

(b) Computation time