mp-23267/BeCl2/anharm

Equation of state

../../_images/fig_bm6477.png

(a) Equation of state

Harmonic properties

../../_images/fig_bandos_pr12970.png

(a) Phonon dispersion with participation ratio and DOS

../../_images/fig_bandos17354.png

(b) Phonon dispersion and DOS

../../_images/fig_thermo12970.png

(c) Thermodynamic properties

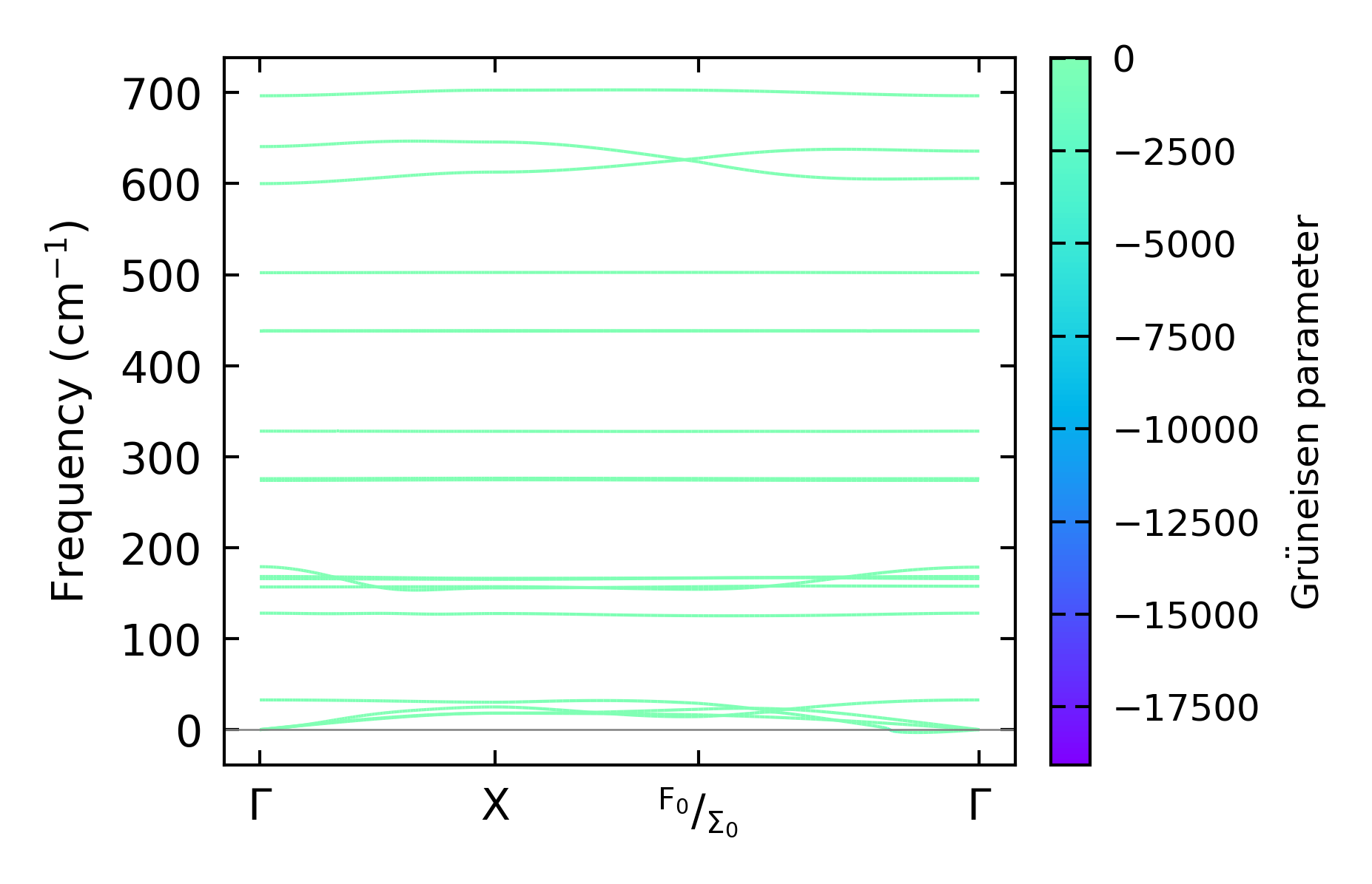
Grüneisen parameters

../../_images/fig_gru_all5394.png

(a) Grüneisen parameters

../../_images/fig_gruneisen5394.png

(b) Phonon dispersion with Grüneisen parameters

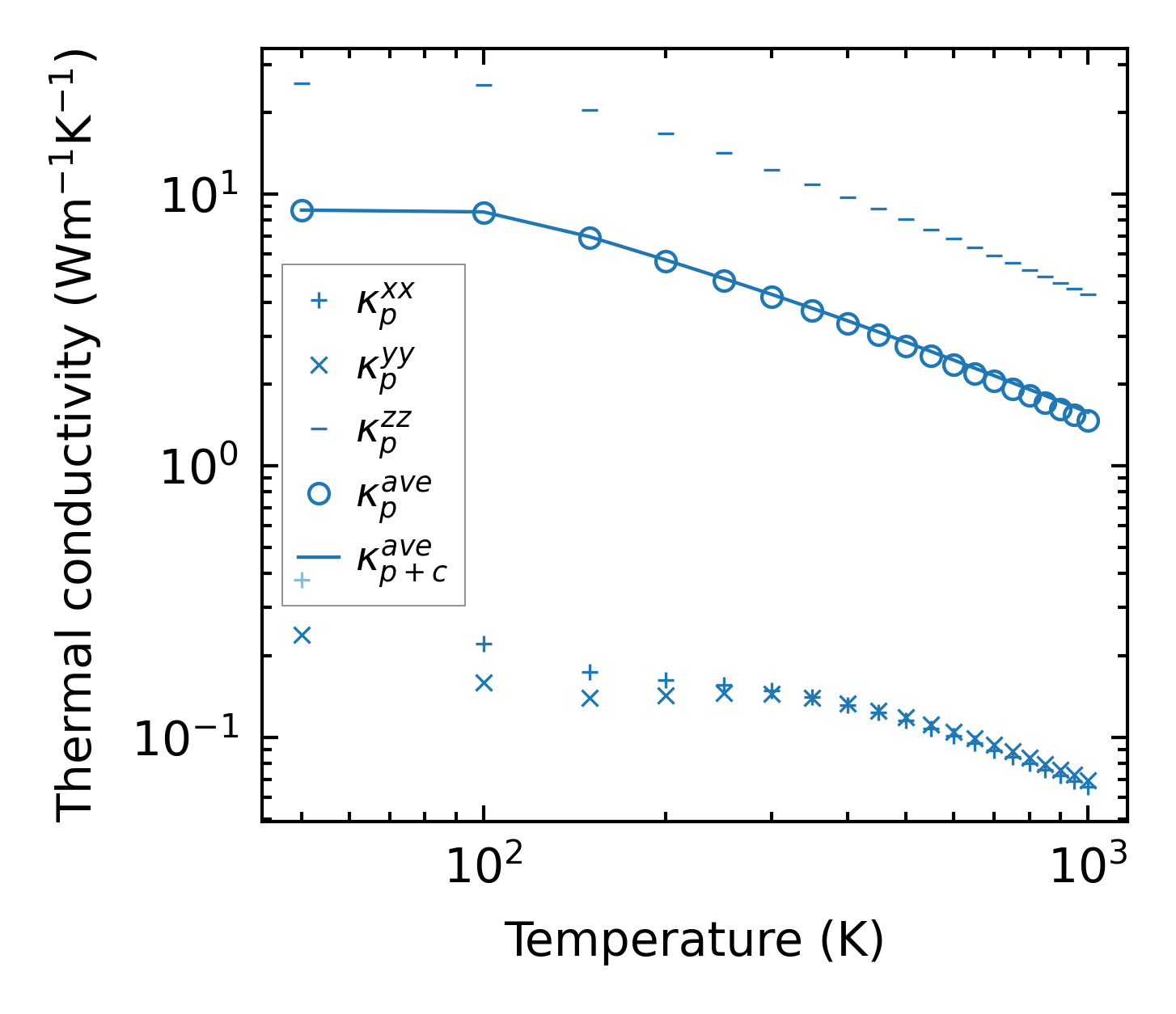
Thermal conductivity

3-phonon (LASSO), supercell 3x2x3 — q-mesh: 13x13x13, supercell: 3x2x3

../../_images/fig_kappa10133.png

(a) Temperature-dependent lattice thermal conductivity

../../_images/fig_kappa_vs_grain_size5458.png

(b) Peierls lattice thermal conductivity w.r.t grain size

Phonon lifetime and scattering rates

../../_images/fig_lifetime5342.png

(a) Phonon lifetime due to phonon-phonon scattering

../../_images/fig_scat_rates5341.png

(b) Phonon scattering rates

Cumulative and spectral thermal conductivity

../../_images/fig_cumu_frequency5342.png

(a) Spectral and cumulative thermal conductivity w.r.t frequency

../../_images/fig_cumu_mfp5341.png

(b) Spectral and cumulative thermal conductivity w.r.t MFP

Force constants

../../_images/fig_fc212658.png

(a) Force constants w.r.t atomic distance

Summary

../../_images/fig_times21937.png

(a) Computation time