mp-23768/AlZnH4O2F5/anharm

Harmonic properties

../../_images/fig_bandos_pr12489.png

(a) Phonon dispersion with participation ratio and DOS

../../_images/fig_thermo12489.png

(b) Thermodynamic properties

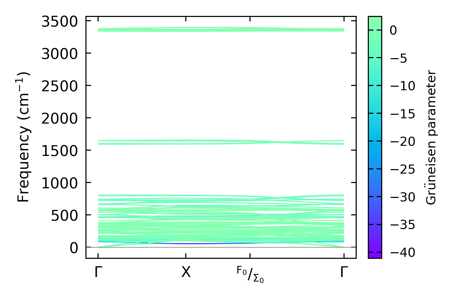
Grüneisen parameters

../../_images/fig_gru_all5187.png

(a) Grüneisen parameters

../../_images/fig_gruneisen5187.png

(b) Phonon dispersion with Grüneisen parameters

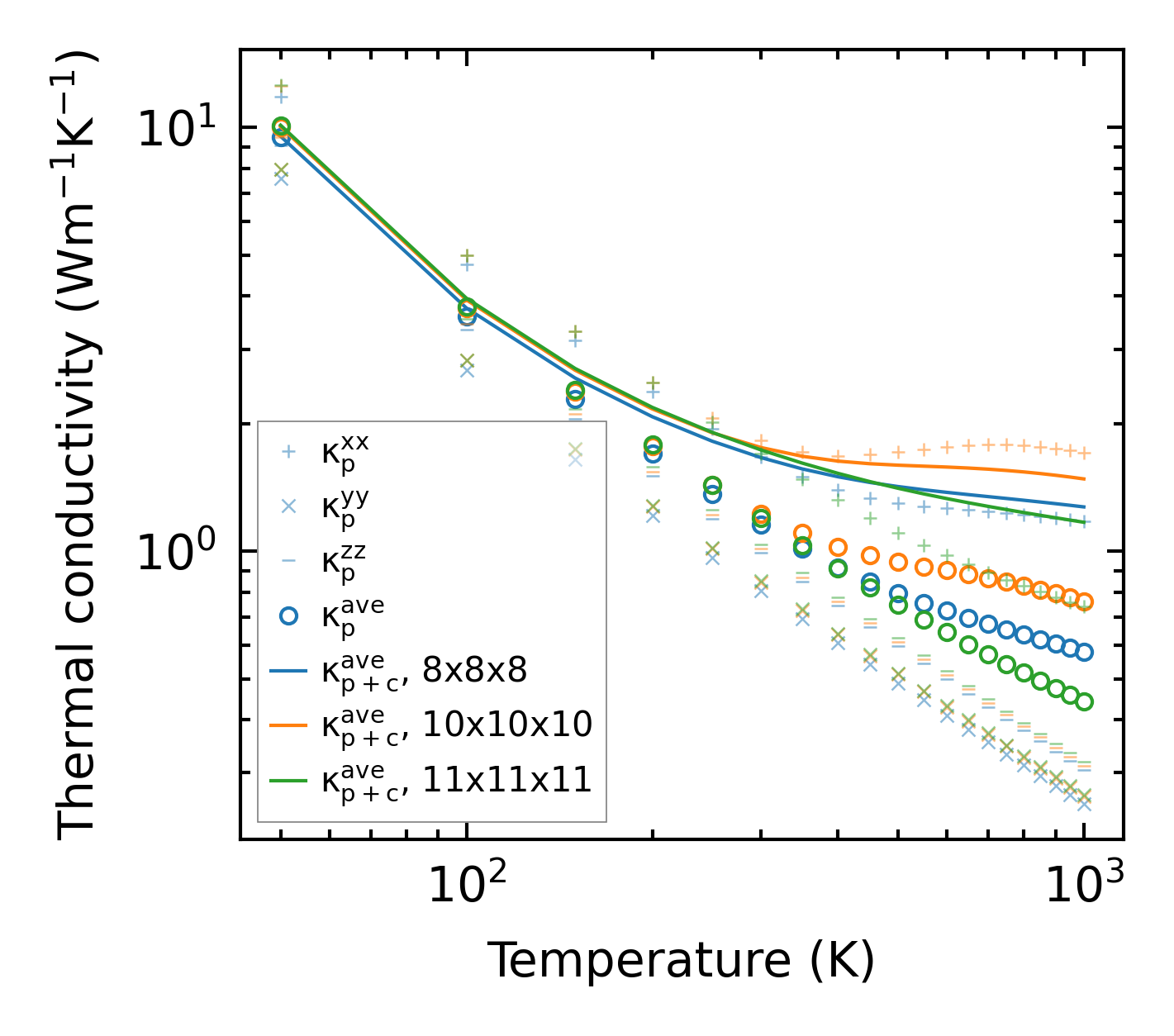
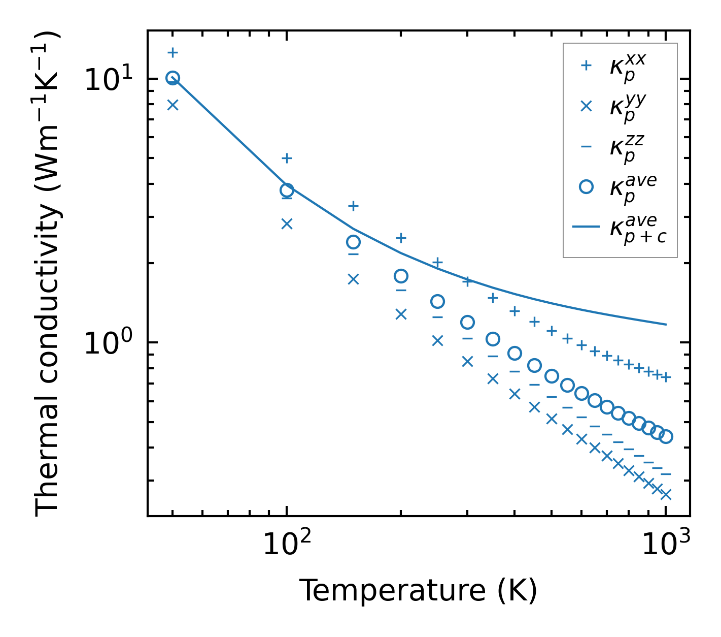
Thermal conductivity

3-phonon (LASSO) — q-mesh: 11x11x11, supercell: 1x1x2

../../_images/fig_kappa9759.png

(a) Temperature-dependent lattice thermal conductivity

../../_images/fig_kappa_vs_grain_size5249.png

(b) Peierls lattice thermal conductivity w.r.t grain size

Phonon lifetime and scattering rates

../../_images/fig_lifetime5136.png

(a) Phonon lifetime due to phonon-phonon scattering

../../_images/fig_scat_rates5135.png

(b) Phonon scattering rates

Cumulative and spectral thermal conductivity

../../_images/fig_cumu_frequency5136.png

(a) Spectral and cumulative thermal conductivity w.r.t frequency

../../_images/fig_cumu_mfp5135.png

(b) Spectral and cumulative thermal conductivity w.r.t MFP

Force constants

../../_images/fig_fc212188.png

(a) Force constants w.r.t atomic distance

Summary

../../_images/fig_kappa9760.png

(a) Temperature-dependent lattice thermal conductivity

../../_images/fig_times21224.png

(b) Computation time