mp-23850-2/NaH2N/harm

Equation of state

../../_images/fig_bm6225.png

(a) Equation of state

Harmonic properties

../../_images/fig_bandos_pr12521.png

(a) Phonon dispersion with participation ratio and DOS

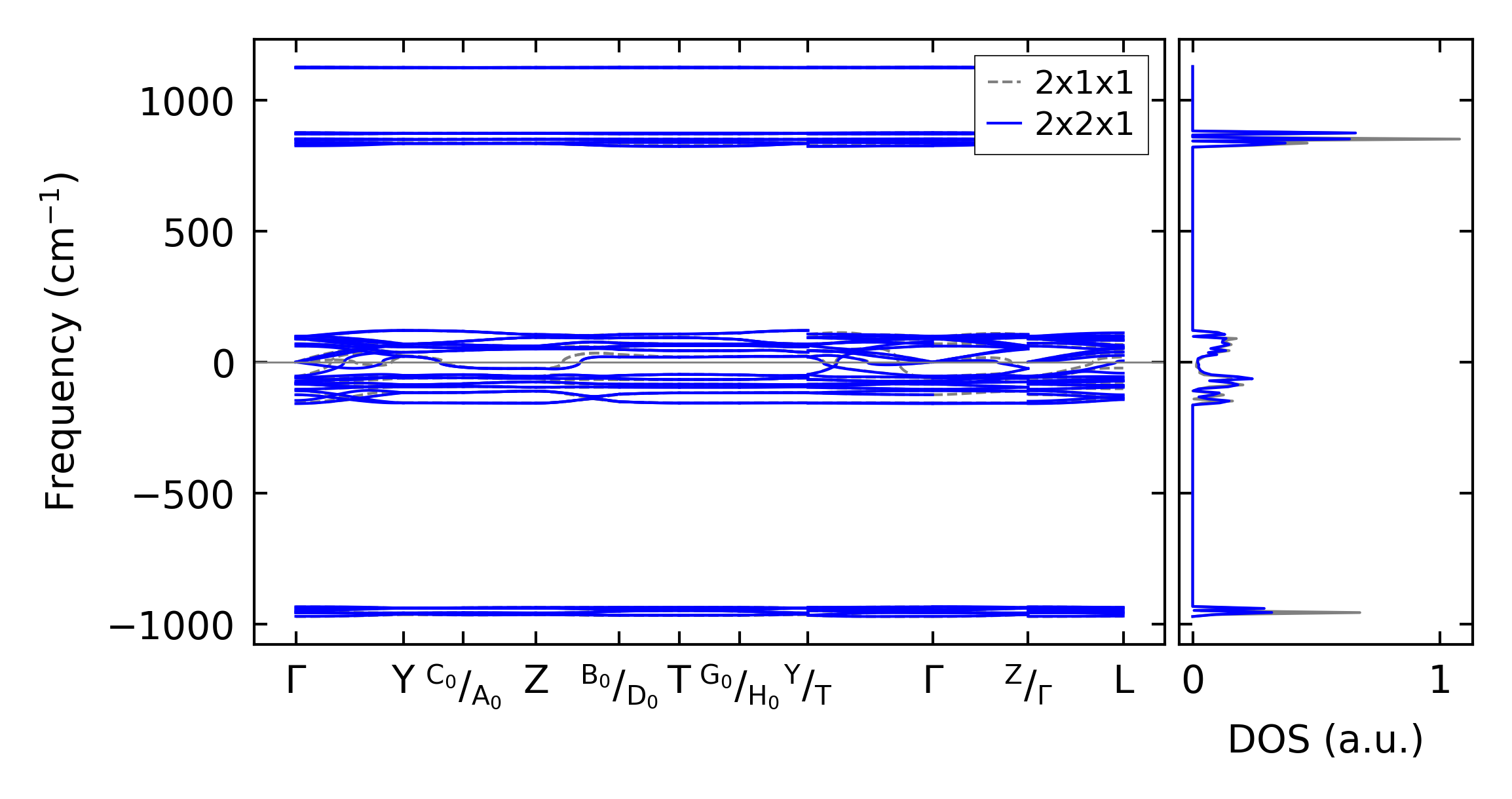
../../_images/fig_bandos16852.png

(b) Phonon dispersion and DOS

../../_images/fig_thermo12521.png

(c) Thermodynamic properties

Force constants

../../_images/fig_fc212220.png

(a) Force constants w.r.t atomic distance

Summary

../../_images/fig_times21286.png

(a) Computation time