mp-23476/Cd7P4Cl6/anharm

Harmonic properties

../../_images/fig_bandos_pr12696.png

(a) Phonon dispersion with participation ratio and DOS

../../_images/fig_thermo12696.png

(b) Thermodynamic properties

Grüneisen parameters

../../_images/fig_gru_all5262.png

(a) Grüneisen parameters

../../_images/fig_gruneisen5262.png

(b) Phonon dispersion with Grüneisen parameters

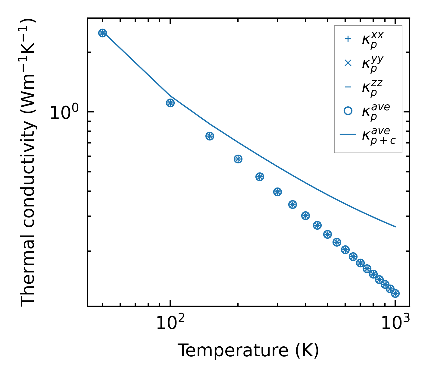
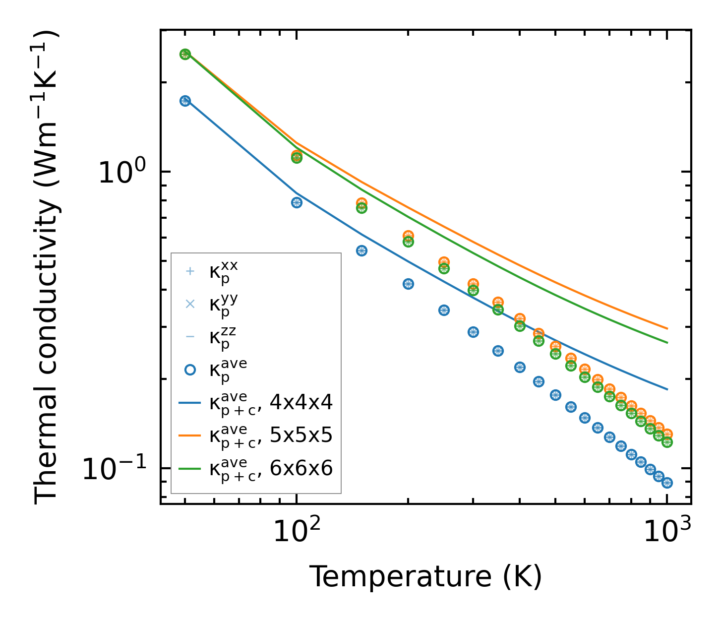
Thermal conductivity

3-phonon (LASSO) — q-mesh: 6x6x6, supercell: 1x1x1

../../_images/fig_kappa9892.png

(a) Temperature-dependent lattice thermal conductivity

../../_images/fig_kappa_vs_grain_size5324.png

(b) Peierls lattice thermal conductivity w.r.t grain size

Phonon lifetime and scattering rates

../../_images/fig_lifetime5211.png

(a) Phonon lifetime due to phonon-phonon scattering

../../_images/fig_scat_rates5210.png

(b) Phonon scattering rates

Cumulative and spectral thermal conductivity

../../_images/fig_cumu_frequency5211.png

(a) Spectral and cumulative thermal conductivity w.r.t frequency

../../_images/fig_cumu_mfp5210.png

(b) Spectral and cumulative thermal conductivity w.r.t MFP

Force constants

../../_images/fig_fc212392.png

(a) Force constants w.r.t atomic distance

Summary

../../_images/fig_kappa9893.png

(a) Temperature-dependent lattice thermal conductivity

../../_images/fig_times21558.png

(b) Computation time