mp-23011-2/RbClO3/harm

Equation of state

../../_images/fig_bm6401.png

(a) Equation of state

Harmonic properties

../../_images/fig_bandos_pr12820.png

(a) Phonon dispersion with participation ratio and DOS

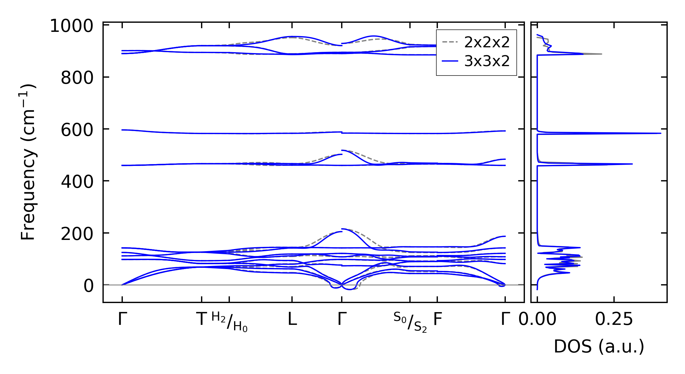
../../_images/fig_bandos17211.png

(b) Phonon dispersion and DOS

../../_images/fig_thermo12820.png

(c) Thermodynamic properties

Force constants

../../_images/fig_fc212516.png

(a) Force constants w.r.t atomic distance

Summary

../../_images/fig_times21732.png

(a) Computation time