mp-23094/Ba5V3ClO12/anharm

Harmonic properties

../../_images/fig_bandos_pr12875.png

(a) Phonon dispersion with participation ratio and DOS

../../_images/fig_bandos17271.png

(b) Phonon dispersion and DOS

../../_images/fig_thermo12875.png

(c) Thermodynamic properties

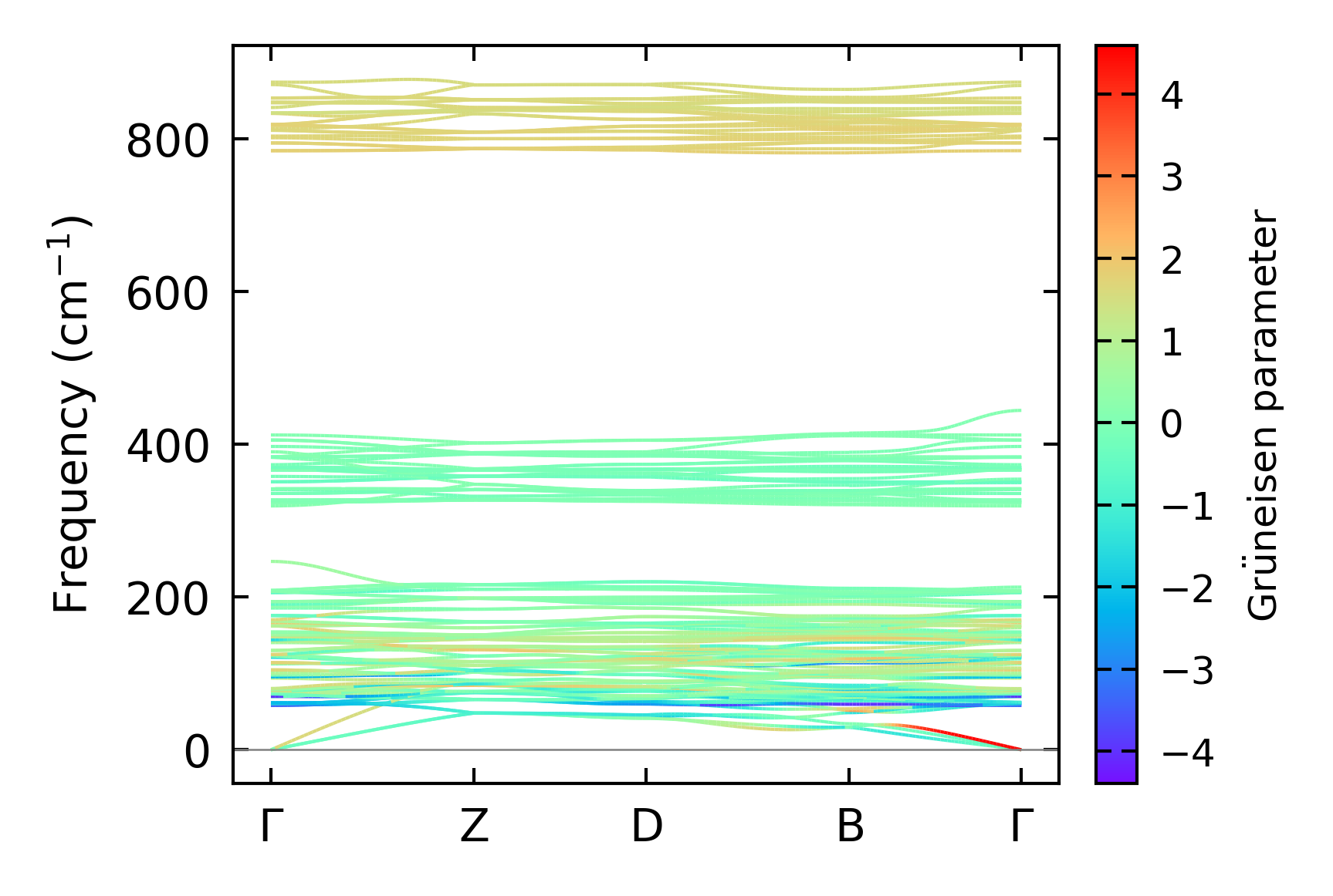
Grüneisen parameters

../../_images/fig_gru_all5342.png

(a) Grüneisen parameters

../../_images/fig_gruneisen5342.png

(b) Phonon dispersion with Grüneisen parameters

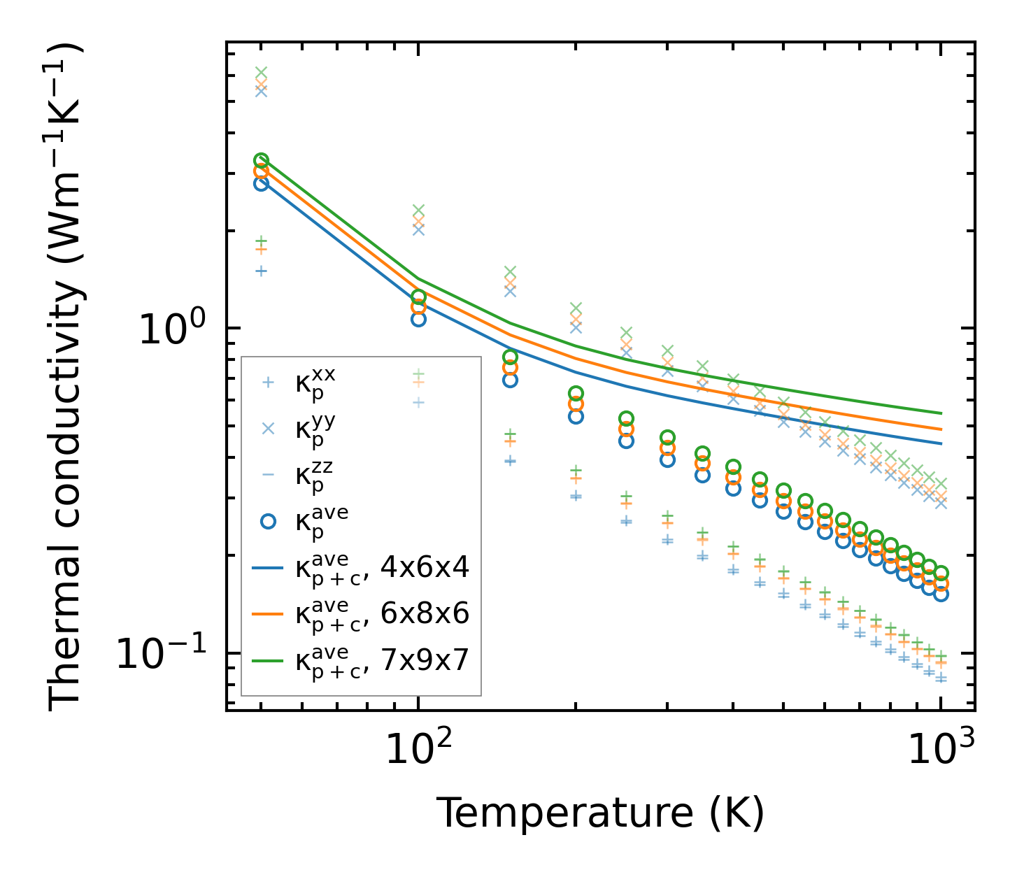
Thermal conductivity

3-phonon (LASSO) — q-mesh: 7x9x7, supercell: 1x2x1

../../_images/fig_kappa10037.png

(a) Temperature-dependent lattice thermal conductivity

../../_images/fig_kappa_vs_grain_size5406.png

(b) Peierls lattice thermal conductivity w.r.t grain size

Phonon lifetime and scattering rates

../../_images/fig_lifetime5291.png

(a) Phonon lifetime due to phonon-phonon scattering

../../_images/fig_scat_rates5290.png

(b) Phonon scattering rates

Cumulative and spectral thermal conductivity

../../_images/fig_cumu_frequency5291.png

(a) Spectral and cumulative thermal conductivity w.r.t frequency

../../_images/fig_cumu_mfp5290.png

(b) Spectral and cumulative thermal conductivity w.r.t MFP

Force constants

../../_images/fig_fc212571.png

(a) Force constants w.r.t atomic distance

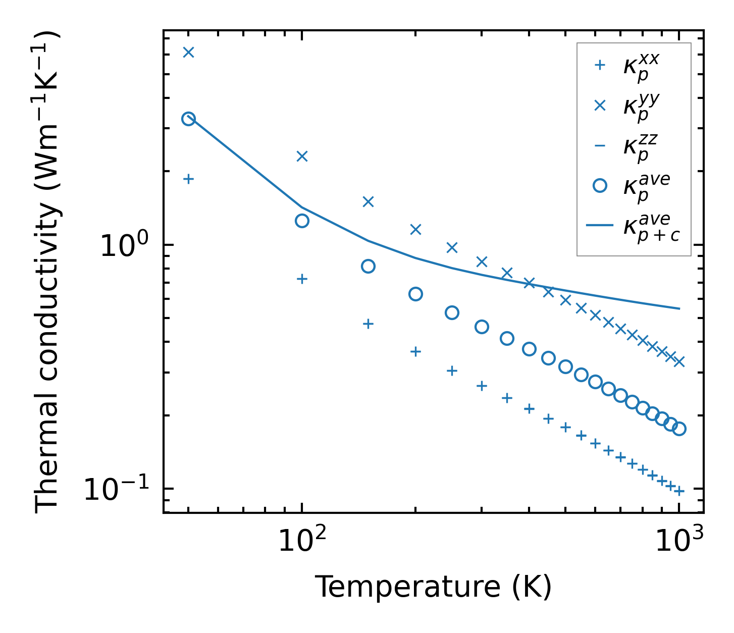
Summary

../../_images/fig_kappa10038.png

(a) Temperature-dependent lattice thermal conductivity

../../_images/fig_times21812.png

(b) Computation time