mp-23420/Ge19P4I4/anharm

Harmonic properties

../../_images/fig_bandos_pr12672.png

(a) Phonon dispersion with participation ratio and DOS

../../_images/fig_thermo12672.png

(b) Thermodynamic properties

Grüneisen parameters

../../_images/fig_gru_all5248.png

(a) Grüneisen parameters

../../_images/fig_gruneisen5248.png

(b) Phonon dispersion with Grüneisen parameters

Thermal conductivity

3-phonon (LASSO) — q-mesh: 6x6x6, supercell: 1x1x1

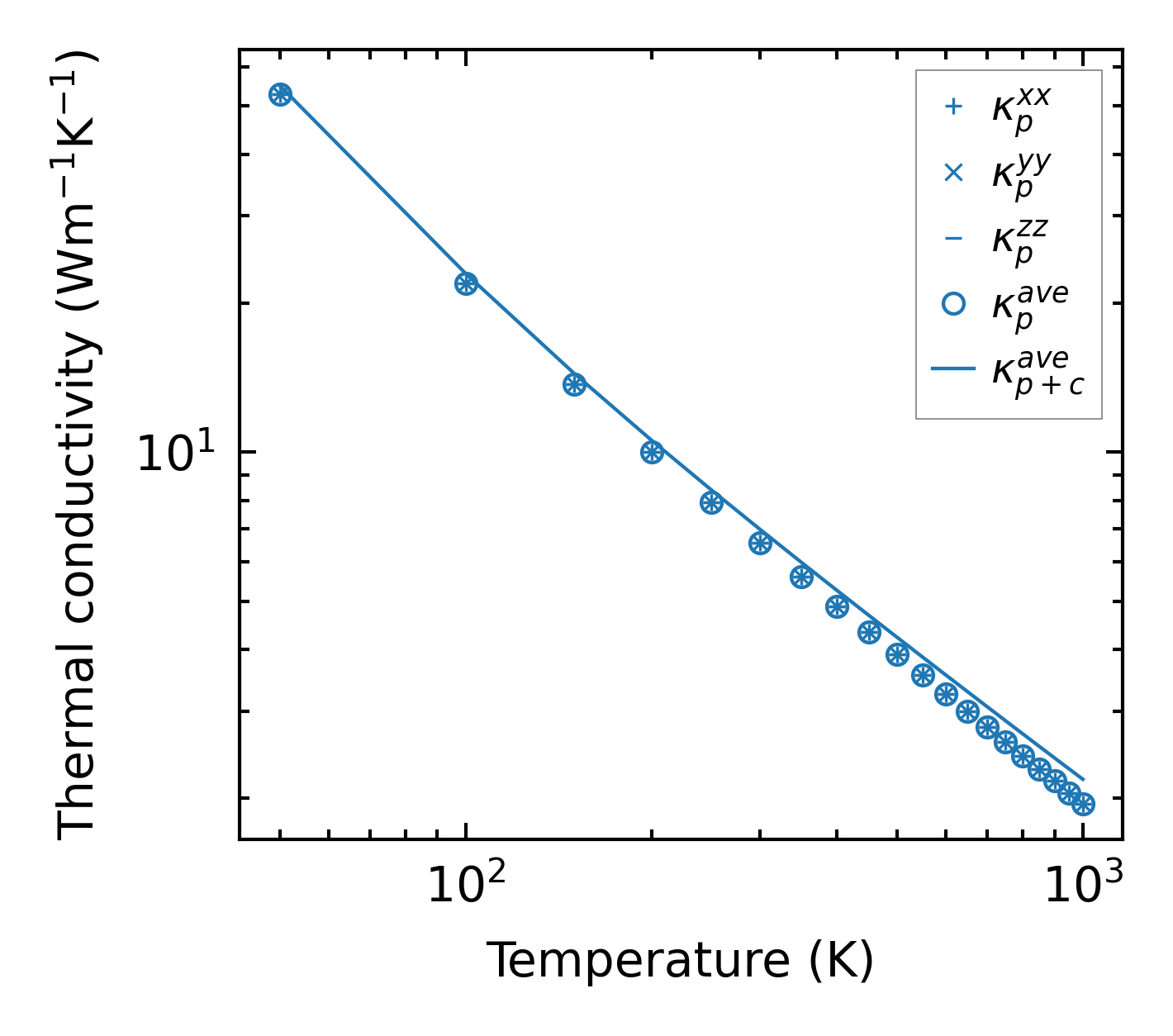
../../_images/fig_kappa9864.png

(a) Temperature-dependent lattice thermal conductivity

../../_images/fig_kappa_vs_grain_size5310.png

(b) Peierls lattice thermal conductivity w.r.t grain size

Phonon lifetime and scattering rates

../../_images/fig_lifetime5197.png

(a) Phonon lifetime due to phonon-phonon scattering

../../_images/fig_scat_rates5196.png

(b) Phonon scattering rates

Cumulative and spectral thermal conductivity

../../_images/fig_cumu_frequency5197.png

(a) Spectral and cumulative thermal conductivity w.r.t frequency

../../_images/fig_cumu_mfp5196.png

(b) Spectral and cumulative thermal conductivity w.r.t MFP

Force constants

../../_images/fig_fc212369.png

(a) Force constants w.r.t atomic distance

Summary

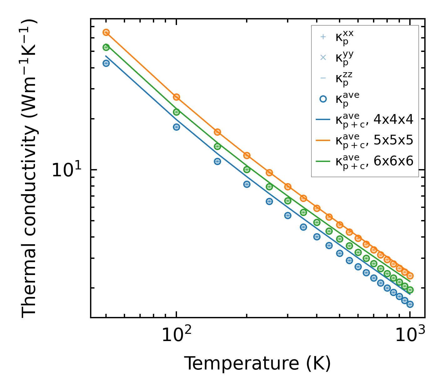
../../_images/fig_kappa9865.png

(a) Temperature-dependent lattice thermal conductivity

../../_images/fig_times21522.png

(b) Computation time