mp-23779/K3HS2O8/harm

Harmonic properties

../../_images/fig_bandos_pr12493.png

(a) Phonon dispersion with participation ratio and DOS

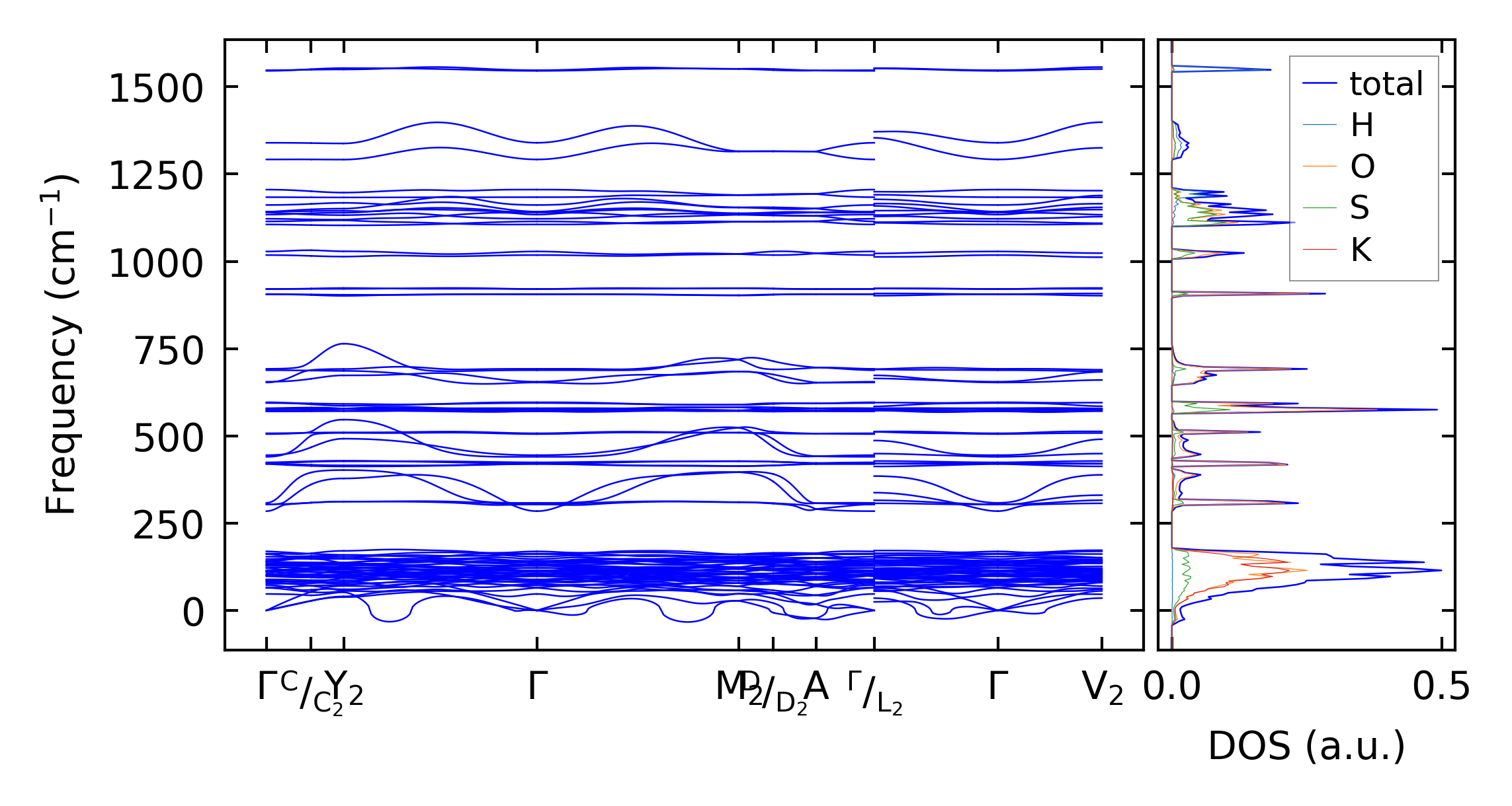
../../_images/fig_bandos16807.png

(b) Phonon dispersion and DOS

../../_images/fig_thermo12493.png

(c) Thermodynamic properties

Force constants

../../_images/fig_fc212192.png

(a) Force constants w.r.t atomic distance

Summary

../../_images/fig_times21234.png

(a) Computation time