mp-23475-2/Rb2PbCl6/harm

Equation of state

../../_images/fig_bm6331.png

(a) Equation of state

Harmonic properties

../../_images/fig_bandos_pr12695.png

(a) Phonon dispersion with participation ratio and DOS

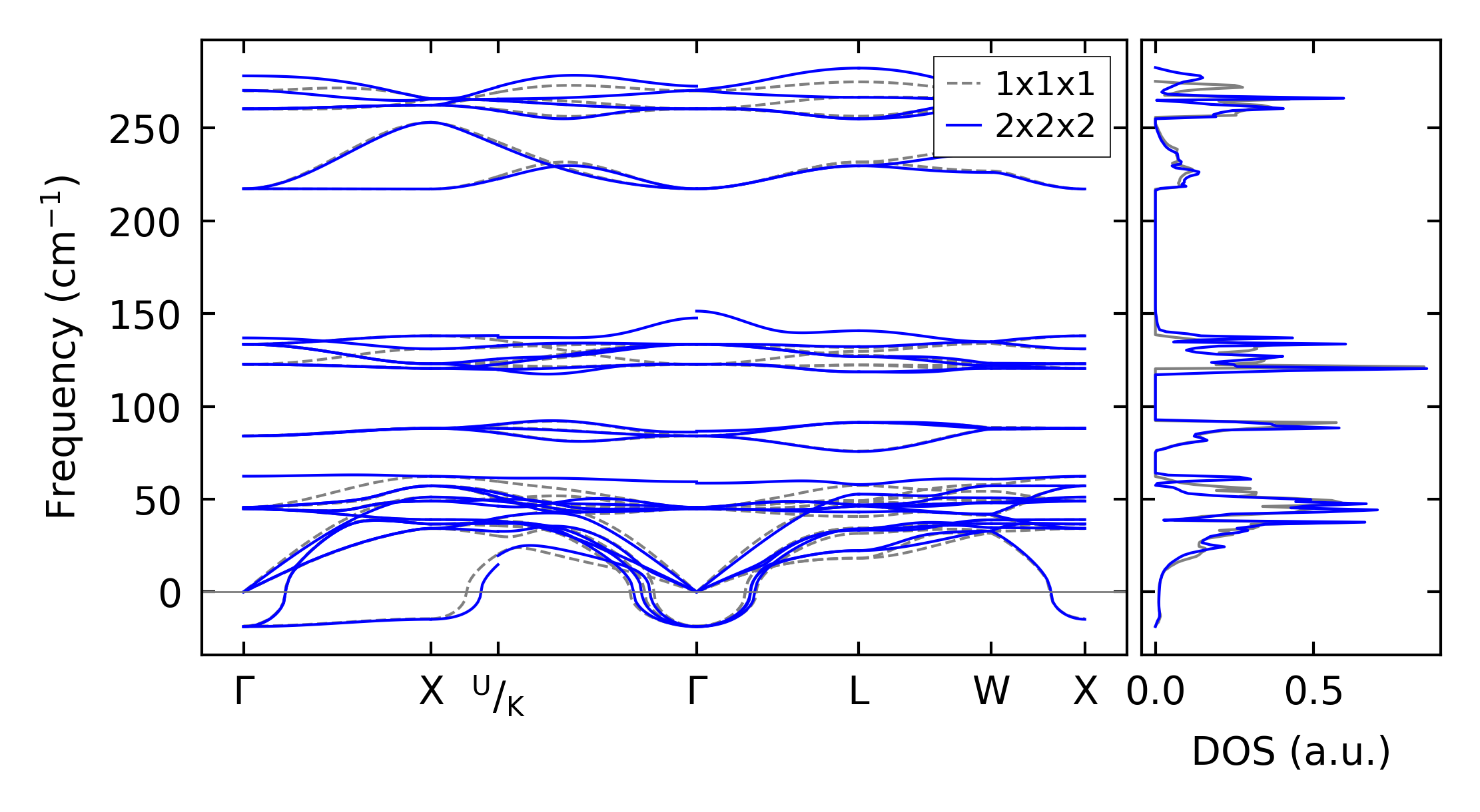
../../_images/fig_bandos17073.png

(b) Phonon dispersion and DOS

../../_images/fig_thermo12695.png

(c) Thermodynamic properties

Force constants

../../_images/fig_fc212391.png

(a) Force constants w.r.t atomic distance

Summary

../../_images/fig_times21557.png

(a) Computation time