mp-23167/TlCl/anharm

Harmonic properties

../../_images/fig_bandos_pr12927.png

(a) Phonon dispersion with participation ratio and DOS

../../_images/fig_thermo12927.png

(b) Thermodynamic properties

Grüneisen parameters

../../_images/fig_gru_all5366.png

(a) Grüneisen parameters

../../_images/fig_gruneisen5366.png

(b) Phonon dispersion with Grüneisen parameters

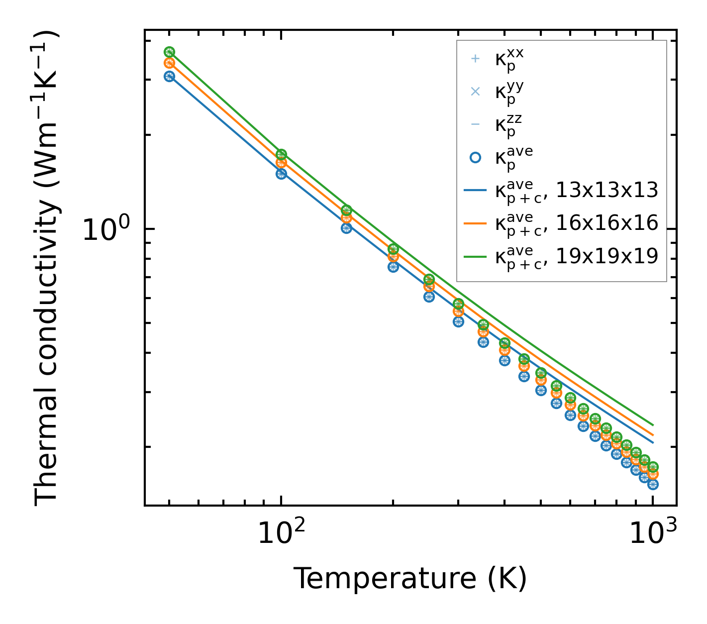
Thermal conductivity

3-phonon — q-mesh: 19x19x19, supercell: 4x4x4

../../_images/fig_kappa10080.png

(a) Temperature-dependent lattice thermal conductivity

../../_images/fig_kappa_vs_grain_size5430.png

(b) Peierls lattice thermal conductivity w.r.t grain size

Phonon lifetime and scattering rates

../../_images/fig_lifetime5314.png

(a) Phonon lifetime due to phonon-phonon scattering

../../_images/fig_scat_rates5313.png

(b) Phonon scattering rates

Cumulative and spectral thermal conductivity

../../_images/fig_cumu_frequency5314.png

(a) Spectral and cumulative thermal conductivity w.r.t frequency

../../_images/fig_cumu_mfp5313.png

(b) Spectral and cumulative thermal conductivity w.r.t MFP

Force constants

../../_images/fig_fc3306.png

(a) Force constants w.r.t atomic distance

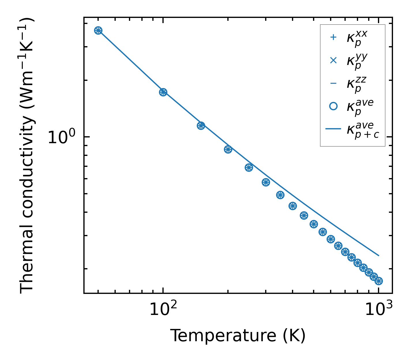
Summary

../../_images/fig_kappa10081.png

(a) Temperature-dependent lattice thermal conductivity

../../_images/fig_times21874.png

(b) Computation time