mp-23432/BaClF/anharm

Harmonic properties

../../_images/fig_bandos_pr12680.png

(a) Phonon dispersion with participation ratio and DOS

../../_images/fig_thermo12680.png

(b) Thermodynamic properties

Grüneisen parameters

../../_images/fig_gru_all5252.png

(a) Grüneisen parameters

../../_images/fig_gruneisen5252.png

(b) Phonon dispersion with Grüneisen parameters

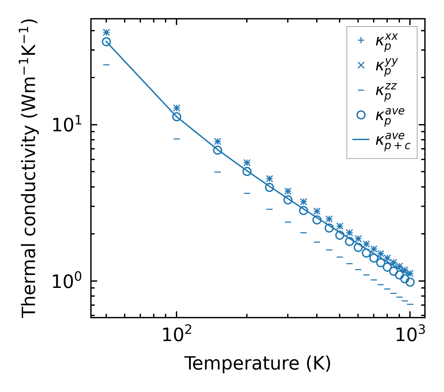
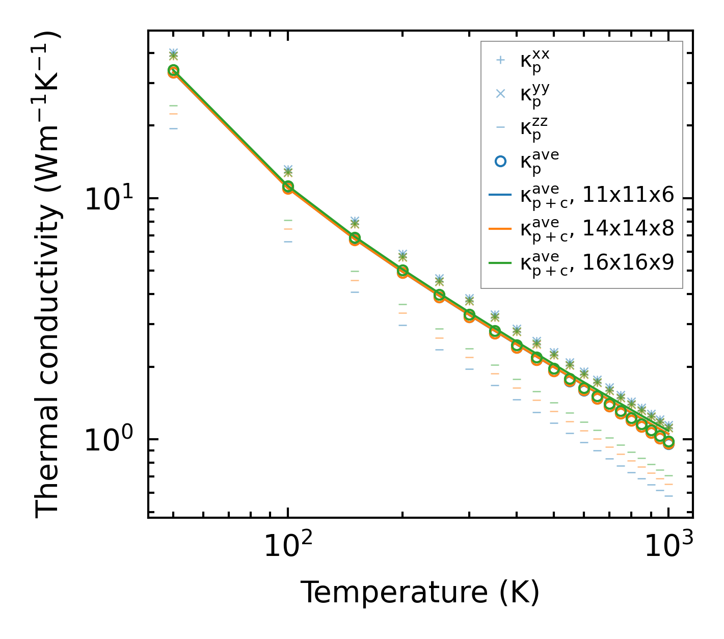
Thermal conductivity

3-phonon (LASSO) — q-mesh: 16x16x9, supercell: 3x3x2

../../_images/fig_kappa9872.png

(a) Temperature-dependent lattice thermal conductivity

../../_images/fig_kappa_vs_grain_size5314.png

(b) Peierls lattice thermal conductivity w.r.t grain size

Phonon lifetime and scattering rates

../../_images/fig_lifetime5201.png

(a) Phonon lifetime due to phonon-phonon scattering

../../_images/fig_scat_rates5200.png

(b) Phonon scattering rates

Cumulative and spectral thermal conductivity

../../_images/fig_cumu_frequency5201.png

(a) Spectral and cumulative thermal conductivity w.r.t frequency

../../_images/fig_cumu_mfp5200.png

(b) Spectral and cumulative thermal conductivity w.r.t MFP

Force constants

../../_images/fig_fc212376.png

(a) Force constants w.r.t atomic distance

Summary

../../_images/fig_kappa9873.png

(a) Temperature-dependent lattice thermal conductivity

../../_images/fig_times21530.png

(b) Computation time