mp-23259/LiBr/anharm

Harmonic properties

../../_images/fig_bandos_pr12965.png

(a) Phonon dispersion with participation ratio and DOS

../../_images/fig_thermo12965.png

(b) Thermodynamic properties

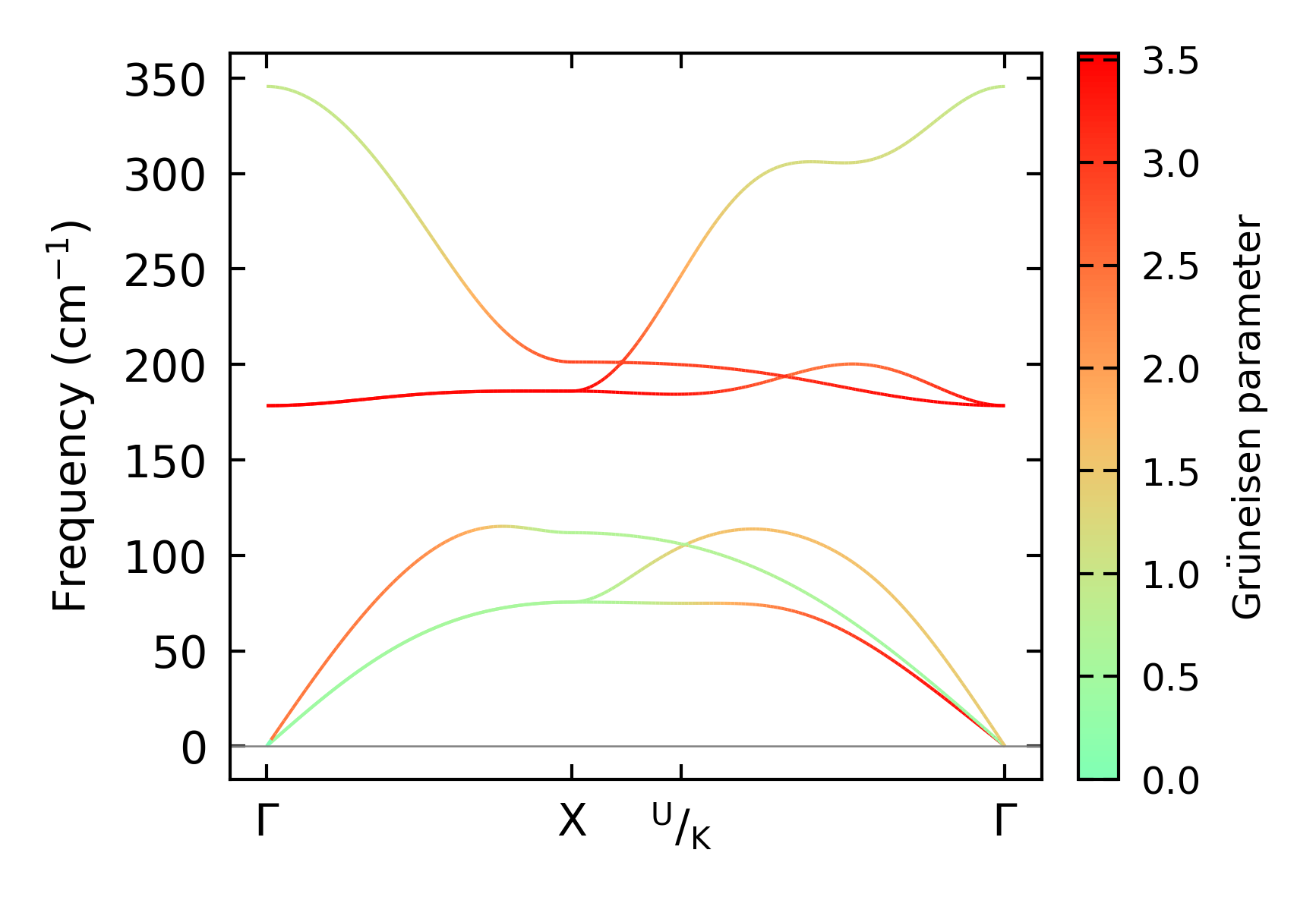
Grüneisen parameters

../../_images/fig_gru_all5391.png

(a) Grüneisen parameters

../../_images/fig_gruneisen5391.png

(b) Phonon dispersion with Grüneisen parameters

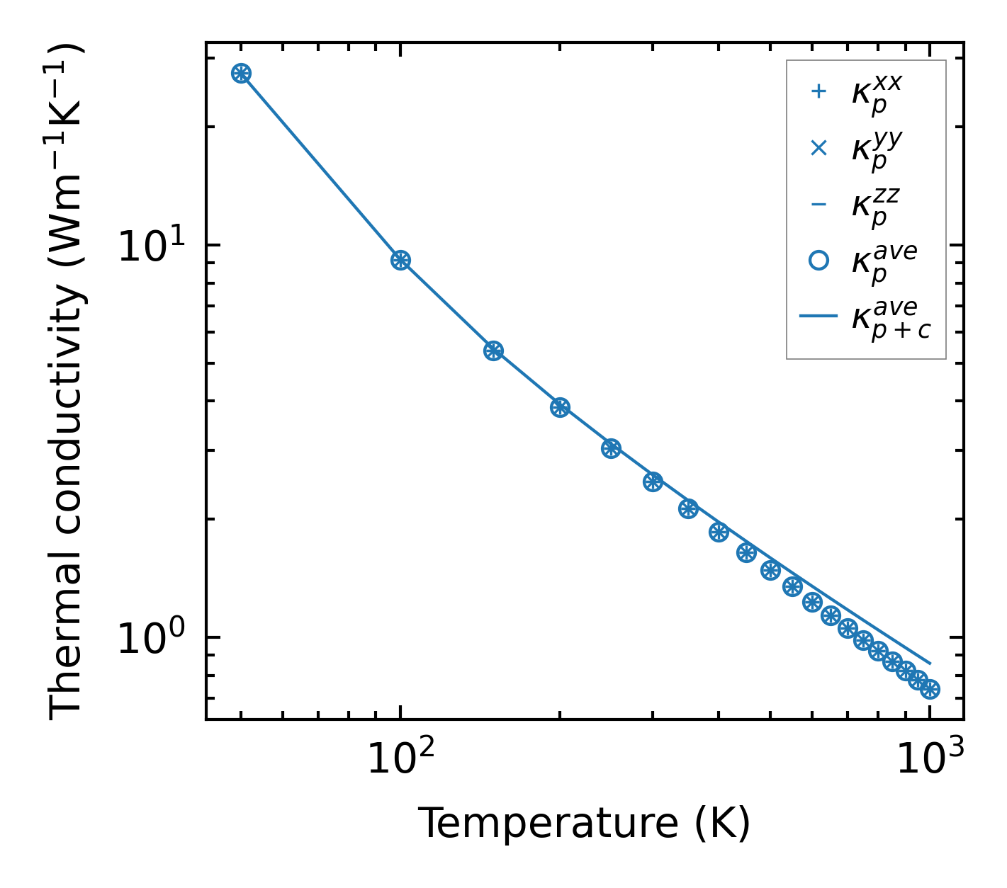
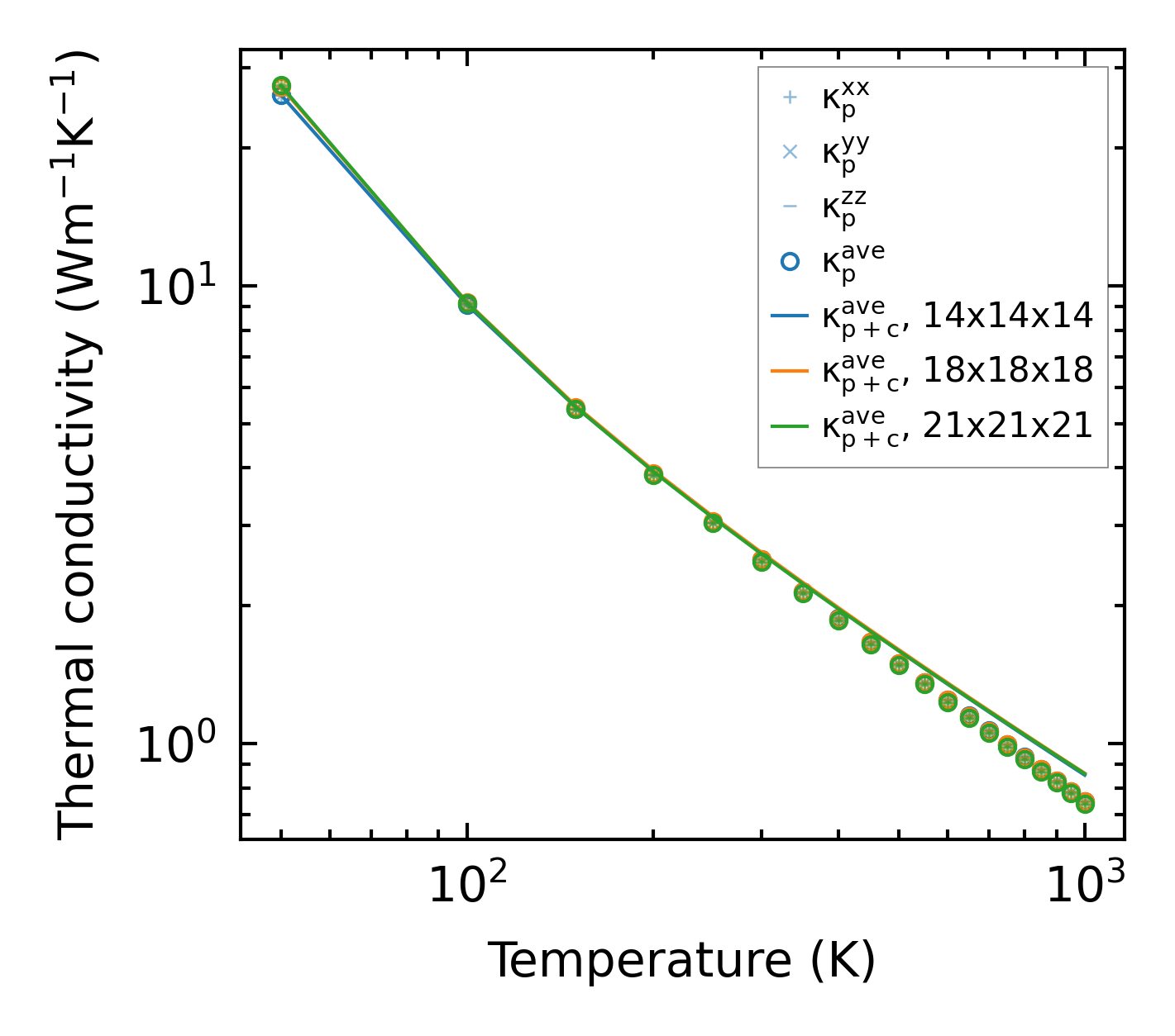
Thermal conductivity

3-phonon (LASSO) — q-mesh: 21x21x21, supercell: 2x2x2

../../_images/fig_kappa10127.png

(a) Temperature-dependent lattice thermal conductivity

../../_images/fig_kappa_vs_grain_size5455.png

(b) Peierls lattice thermal conductivity w.r.t grain size

Phonon lifetime and scattering rates

../../_images/fig_lifetime5339.png

(a) Phonon lifetime due to phonon-phonon scattering

../../_images/fig_scat_rates5338.png

(b) Phonon scattering rates

Cumulative and spectral thermal conductivity

../../_images/fig_cumu_frequency5339.png

(a) Spectral and cumulative thermal conductivity w.r.t frequency

../../_images/fig_cumu_mfp5338.png

(b) Spectral and cumulative thermal conductivity w.r.t MFP

Force constants

../../_images/fig_fc212653.png

(a) Force constants w.r.t atomic distance

Summary

../../_images/fig_kappa10128.png

(a) Temperature-dependent lattice thermal conductivity

../../_images/fig_times21930.png

(b) Computation time