mp-23763-2/SnH8N2Cl6/harm

Equation of state

../../_images/fig_bm6197.png

(a) Equation of state

Harmonic properties

../../_images/fig_bandos_pr12487.png

(a) Phonon dispersion with participation ratio and DOS

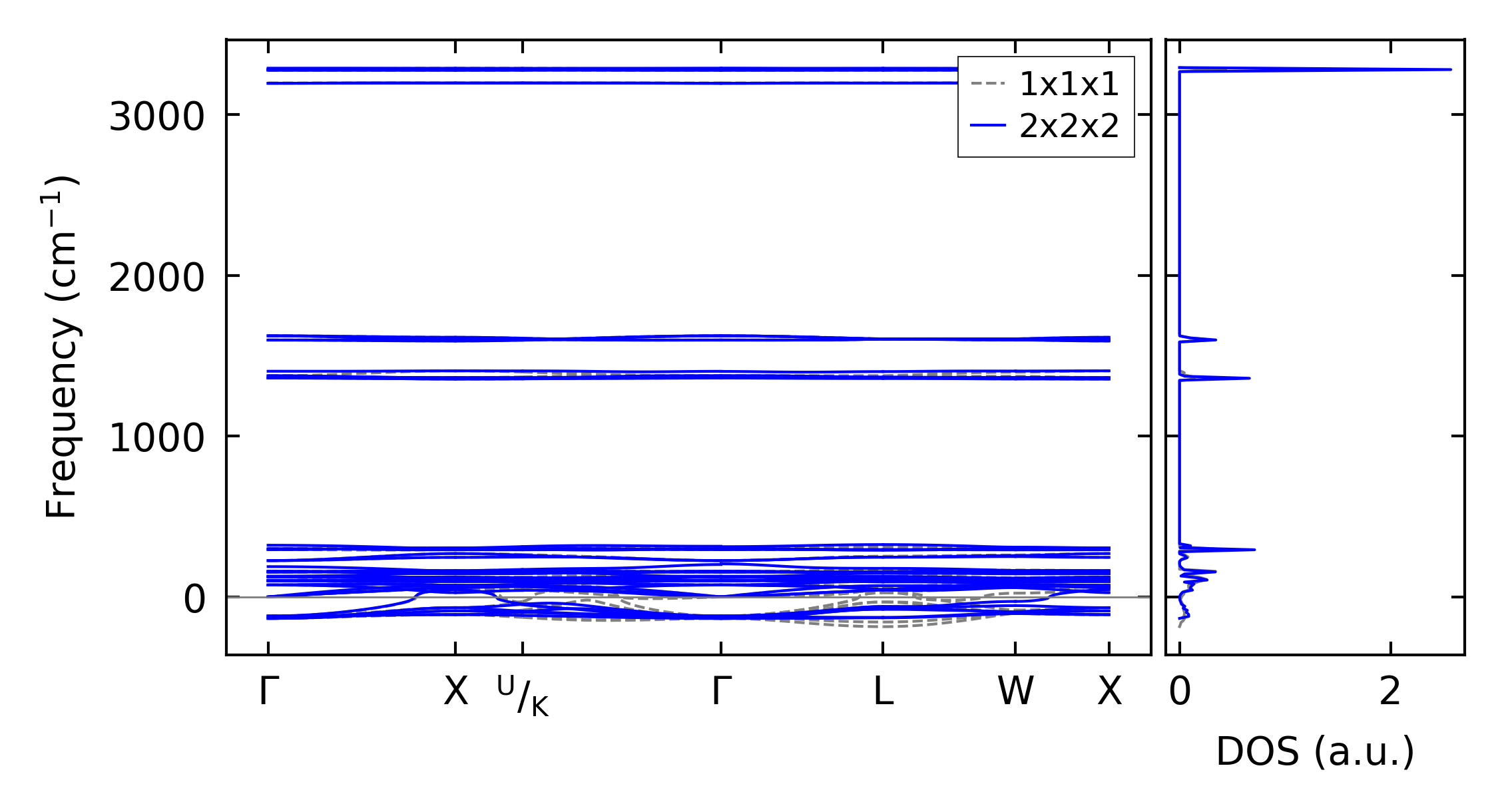
../../_images/fig_bandos16797.png

(b) Phonon dispersion and DOS

../../_images/fig_thermo12487.png

(c) Thermodynamic properties

Force constants

../../_images/fig_fc212186.png

(a) Force constants w.r.t atomic distance

Summary

../../_images/fig_times21222.png

(a) Computation time