mp-23541-2/KSn2Br5/anharm

Equation of state

../../_images/fig_bm6354.png

(a) Equation of state

Harmonic properties

../../_images/fig_bandos_pr12737.png

(a) Phonon dispersion with participation ratio and DOS

../../_images/fig_bandos17117.png

(b) Phonon dispersion and DOS

../../_images/fig_thermo12737.png

(c) Thermodynamic properties

Grüneisen parameters

../../_images/fig_gru_all5281.png

(a) Grüneisen parameters

../../_images/fig_gruneisen5281.png

(b) Phonon dispersion with Grüneisen parameters

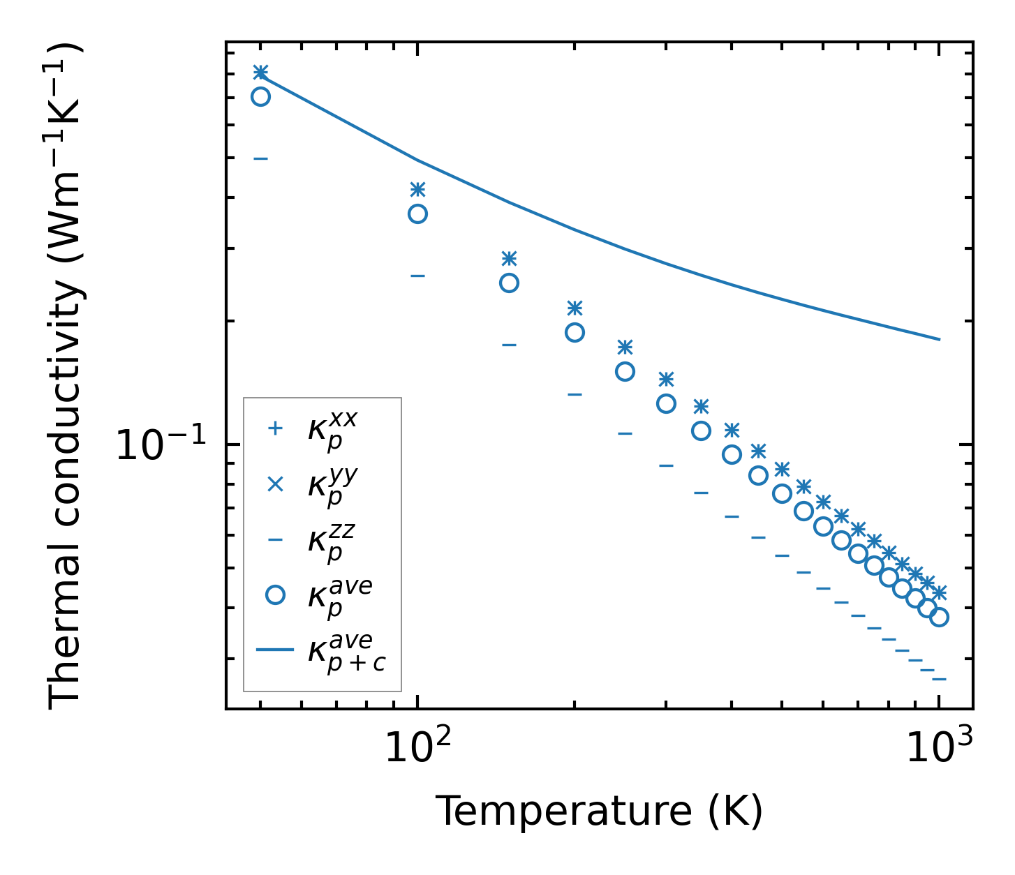
Thermal conductivity

3-phonon (LASSO) — q-mesh: 9x9x9, supercell: 2x2x1

../../_images/fig_kappa9924.png

(a) Temperature-dependent lattice thermal conductivity

../../_images/fig_kappa_vs_grain_size5343.png

(b) Peierls lattice thermal conductivity w.r.t grain size

Phonon lifetime and scattering rates

../../_images/fig_lifetime5230.png

(a) Phonon lifetime due to phonon-phonon scattering

../../_images/fig_scat_rates5229.png

(b) Phonon scattering rates

Cumulative and spectral thermal conductivity

../../_images/fig_cumu_frequency5230.png

(a) Spectral and cumulative thermal conductivity w.r.t frequency

../../_images/fig_cumu_mfp5229.png

(b) Spectral and cumulative thermal conductivity w.r.t MFP

Force constants

../../_images/fig_fc212433.png

(a) Force constants w.r.t atomic distance

Summary

../../_images/fig_kappa9925.png

(a) Temperature-dependent lattice thermal conductivity

../../_images/fig_times21613.png

(b) Computation time