mp-23104-2/Pb2ClOF/anharm

Equation of state

../../_images/fig_bm6437.png

(a) Equation of state

Harmonic properties

../../_images/fig_bandos_pr12885.png

(a) Phonon dispersion with participation ratio and DOS

../../_images/fig_bandos17278.png

(b) Phonon dispersion and DOS

../../_images/fig_thermo12885.png

(c) Thermodynamic properties

Grüneisen parameters

../../_images/fig_gru_all5347.png

(a) Grüneisen parameters

../../_images/fig_gruneisen5347.png

(b) Phonon dispersion with Grüneisen parameters

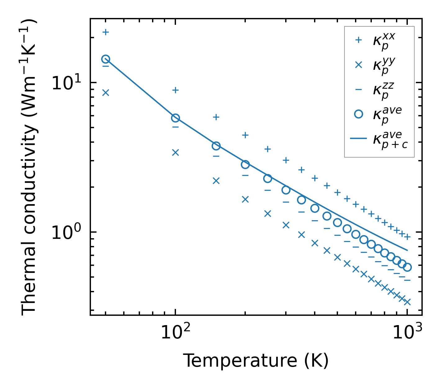
Thermal conductivity

3-phonon (LASSO), supercell 3x1x3 — q-mesh: 11x11x13, supercell: 3x1x3

../../_images/fig_kappa10048.png

(a) Temperature-dependent lattice thermal conductivity

../../_images/fig_kappa_vs_grain_size5412.png

(b) Peierls lattice thermal conductivity w.r.t grain size

Phonon lifetime and scattering rates

../../_images/fig_lifetime5296.png

(a) Phonon lifetime due to phonon-phonon scattering

../../_images/fig_scat_rates5295.png

(b) Phonon scattering rates

Cumulative and spectral thermal conductivity

../../_images/fig_cumu_frequency5296.png

(a) Spectral and cumulative thermal conductivity w.r.t frequency

../../_images/fig_cumu_mfp5295.png

(b) Spectral and cumulative thermal conductivity w.r.t MFP

Force constants

../../_images/fig_fc212581.png

(a) Force constants w.r.t atomic distance

Summary

../../_images/fig_times21823.png

(a) Computation time