mp-23872/Ca3Al2H6SO8F8/anharm

Harmonic properties

../../_images/fig_bandos_pr12530.png

(a) Phonon dispersion with participation ratio and DOS

../../_images/fig_thermo12530.png

(b) Thermodynamic properties

Grüneisen parameters

../../_images/fig_gru_all5205.png

(a) Grüneisen parameters

../../_images/fig_gruneisen5205.png

(b) Phonon dispersion with Grüneisen parameters

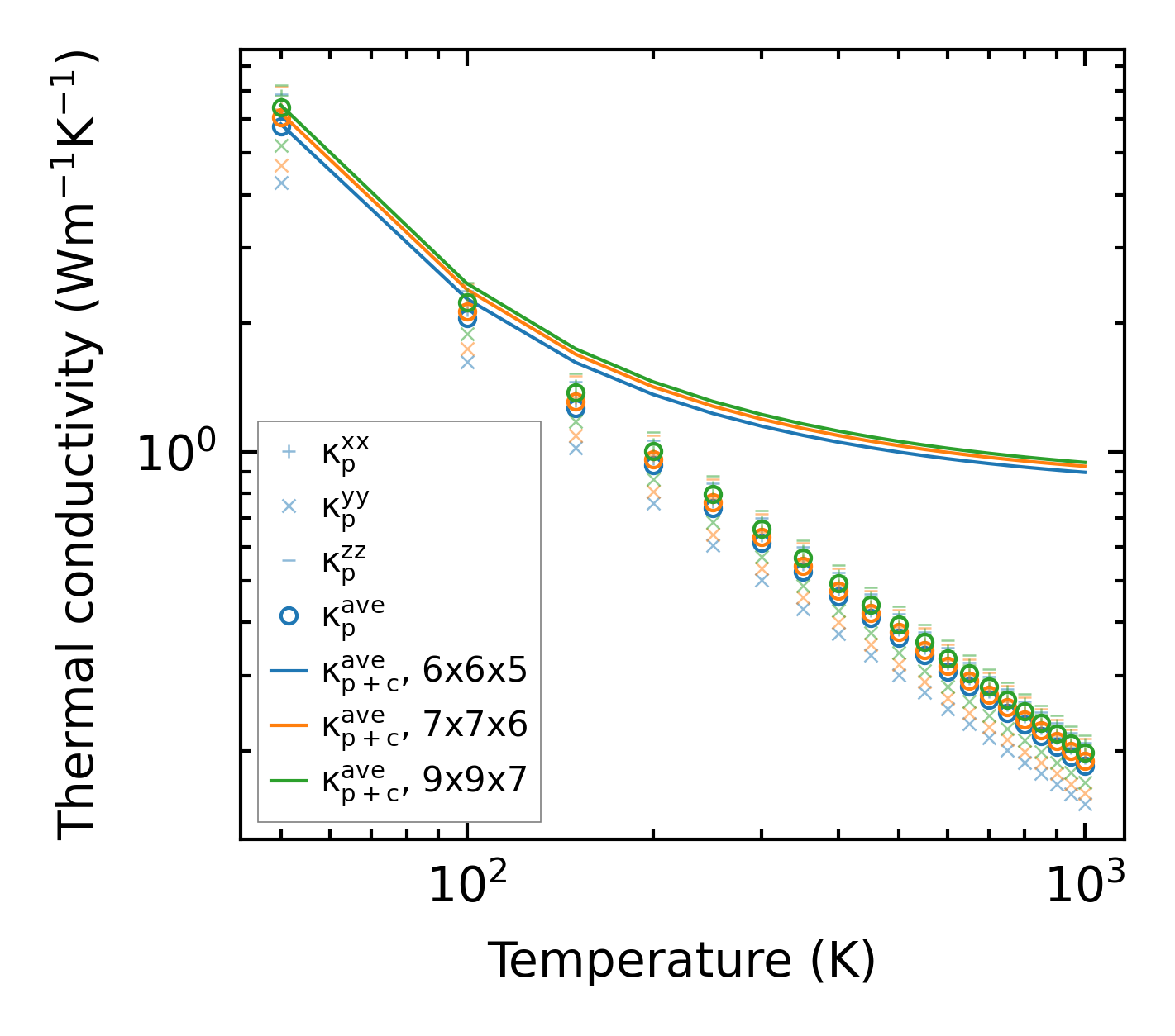
Thermal conductivity

3-phonon (LASSO) — q-mesh: 9x9x7, supercell: 1x1x1

../../_images/fig_kappa9791.png

(a) Temperature-dependent lattice thermal conductivity

../../_images/fig_kappa_vs_grain_size5267.png

(b) Peierls lattice thermal conductivity w.r.t grain size

Phonon lifetime and scattering rates

../../_images/fig_lifetime5154.png

(a) Phonon lifetime due to phonon-phonon scattering

../../_images/fig_scat_rates5153.png

(b) Phonon scattering rates

Cumulative and spectral thermal conductivity

../../_images/fig_cumu_frequency5154.png

(a) Spectral and cumulative thermal conductivity w.r.t frequency

../../_images/fig_cumu_mfp5153.png

(b) Spectral and cumulative thermal conductivity w.r.t MFP

Force constants

../../_images/fig_fc212228.png

(a) Force constants w.r.t atomic distance

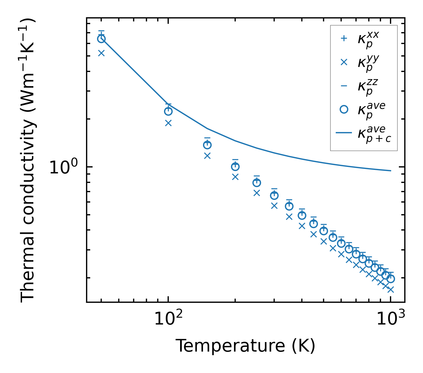
Summary

../../_images/fig_kappa9792.png

(a) Temperature-dependent lattice thermal conductivity

../../_images/fig_times21299.png

(b) Computation time