mp-23090/La3Si2S8I/anharm

Harmonic properties

../../_images/fig_bandos_pr12873.png

(a) Phonon dispersion with participation ratio and DOS

../../_images/fig_thermo12873.png

(b) Thermodynamic properties

Grüneisen parameters

../../_images/fig_gru_all5340.png

(a) Grüneisen parameters

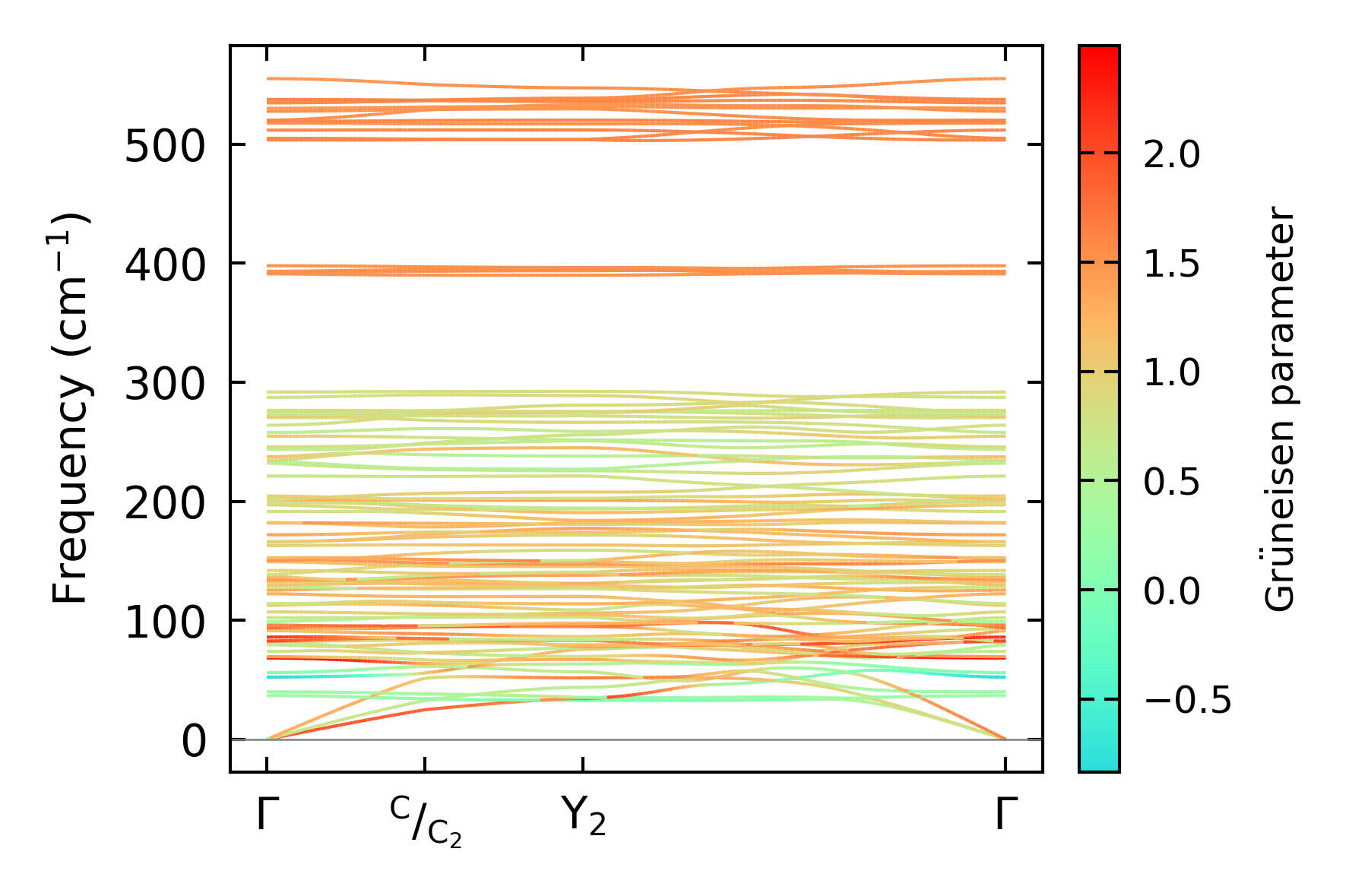
../../_images/fig_gruneisen5340.png

(b) Phonon dispersion with Grüneisen parameters

Thermal conductivity

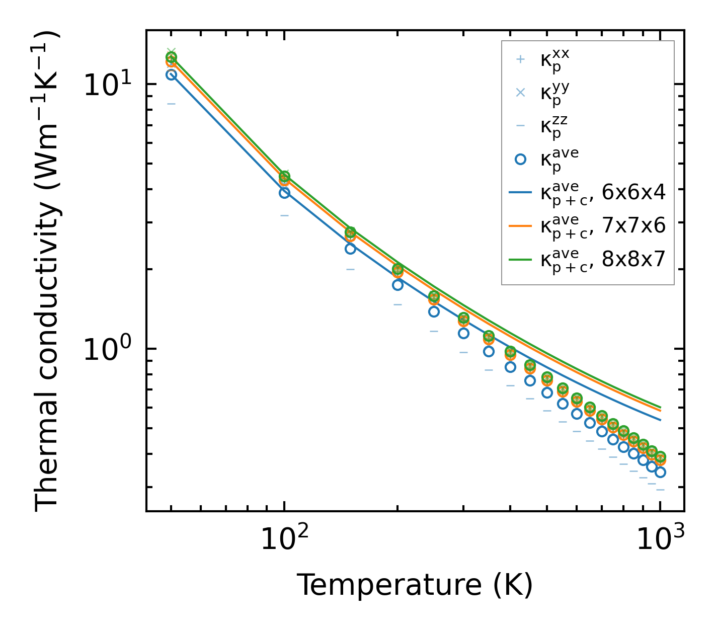
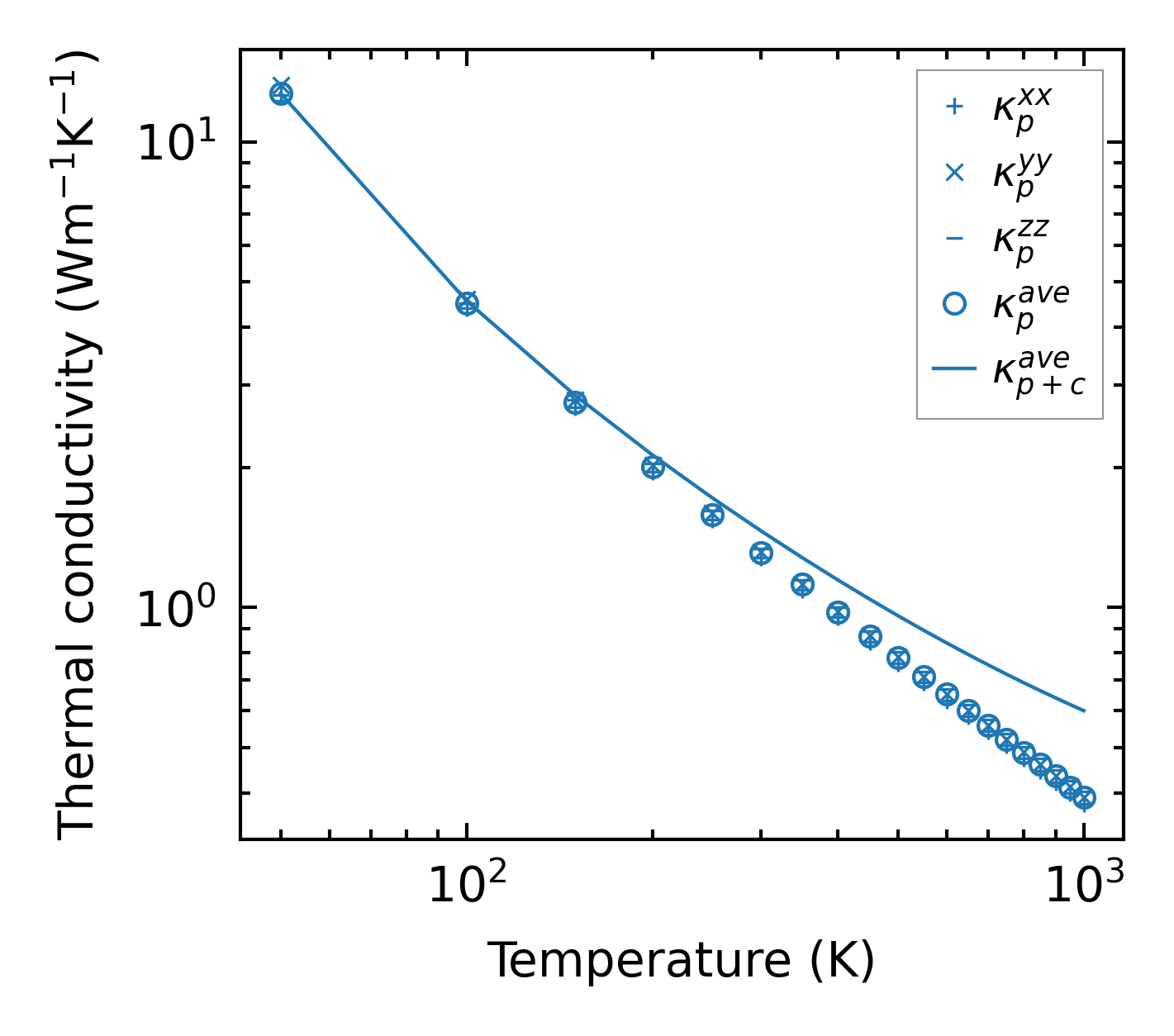
3-phonon (LASSO) — q-mesh: 8x8x7, supercell: 1x2x1

../../_images/fig_kappa10033.png

(a) Temperature-dependent lattice thermal conductivity

../../_images/fig_kappa_vs_grain_size5404.png

(b) Peierls lattice thermal conductivity w.r.t grain size

Phonon lifetime and scattering rates

../../_images/fig_lifetime5289.png

(a) Phonon lifetime due to phonon-phonon scattering

../../_images/fig_scat_rates5288.png

(b) Phonon scattering rates

Cumulative and spectral thermal conductivity

../../_images/fig_cumu_frequency5289.png

(a) Spectral and cumulative thermal conductivity w.r.t frequency

../../_images/fig_cumu_mfp5288.png

(b) Spectral and cumulative thermal conductivity w.r.t MFP

Force constants

../../_images/fig_fc212569.png

(a) Force constants w.r.t atomic distance

Summary

../../_images/fig_kappa10034.png

(a) Temperature-dependent lattice thermal conductivity

../../_images/fig_times21806.png

(b) Computation time