mp-23070/BaBrF/anharm

Harmonic properties

../../_images/fig_bandos_pr12863.png

(a) Phonon dispersion with participation ratio and DOS

../../_images/fig_thermo12863.png

(b) Thermodynamic properties

Grüneisen parameters

../../_images/fig_gru_all5336.png

(a) Grüneisen parameters

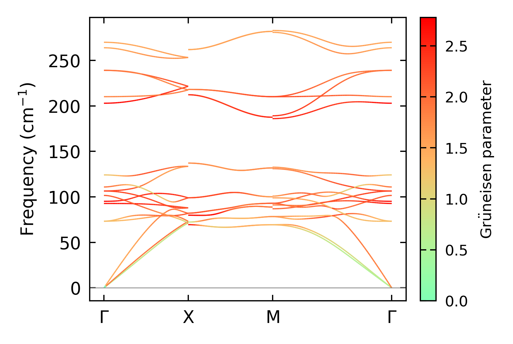
../../_images/fig_gruneisen5336.png

(b) Phonon dispersion with Grüneisen parameters

Thermal conductivity

3-phonon (LASSO) — q-mesh: 16x16x9, supercell: 3x3x2

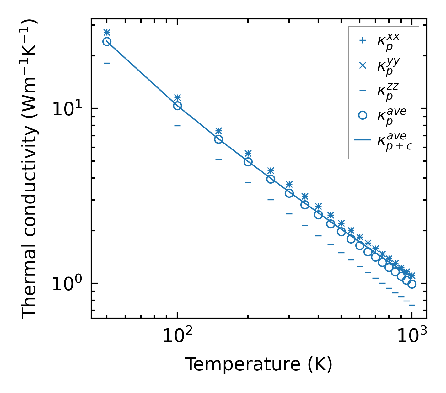
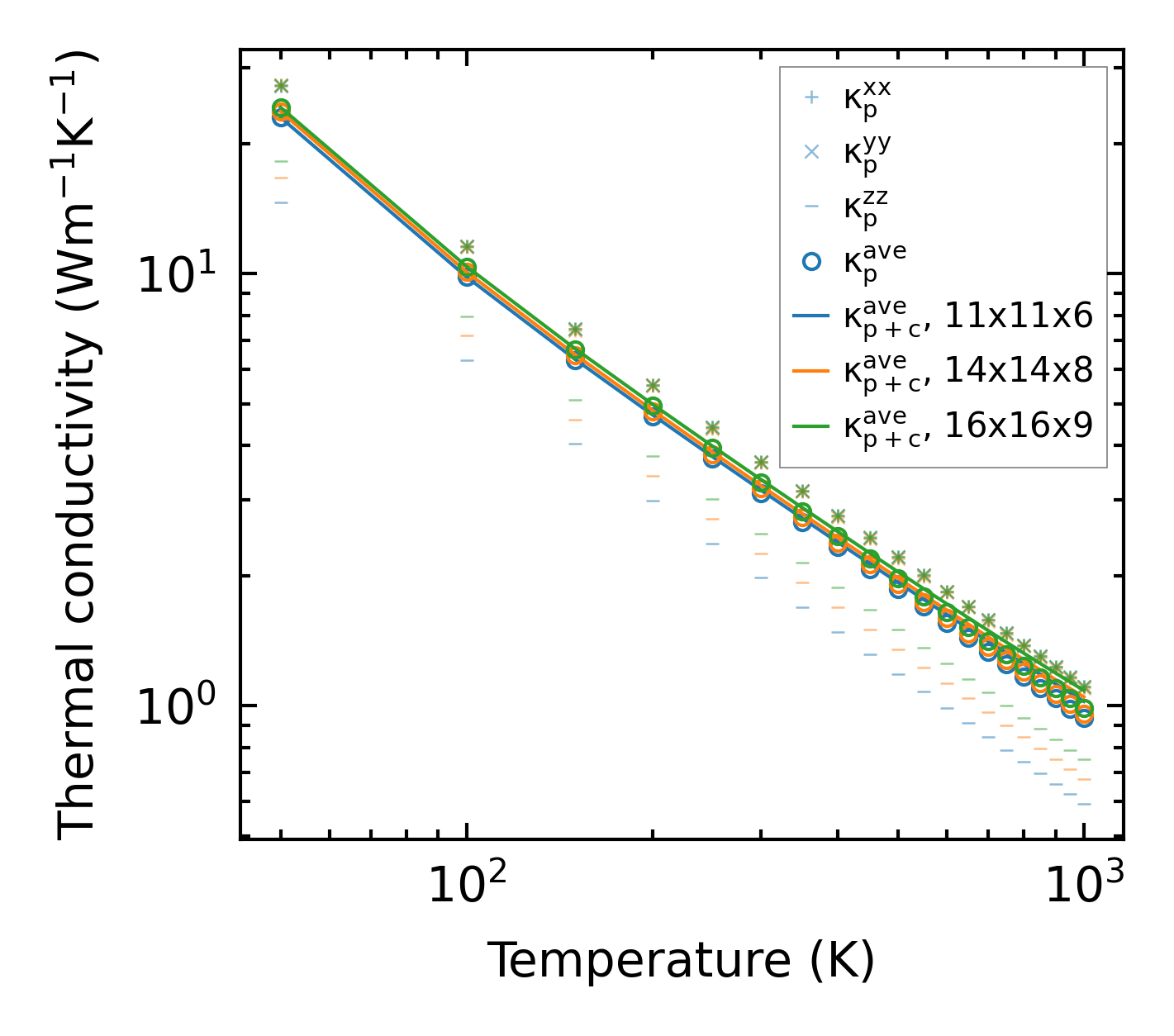
../../_images/fig_kappa10026.png

(a) Temperature-dependent lattice thermal conductivity

../../_images/fig_kappa_vs_grain_size5400.png

(b) Peierls lattice thermal conductivity w.r.t grain size

Phonon lifetime and scattering rates

../../_images/fig_lifetime5285.png

(a) Phonon lifetime due to phonon-phonon scattering

../../_images/fig_scat_rates5284.png

(b) Phonon scattering rates

Cumulative and spectral thermal conductivity

../../_images/fig_cumu_frequency5285.png

(a) Spectral and cumulative thermal conductivity w.r.t frequency

../../_images/fig_cumu_mfp5284.png

(b) Spectral and cumulative thermal conductivity w.r.t MFP

Force constants

../../_images/fig_fc212559.png

(a) Force constants w.r.t atomic distance

Summary

../../_images/fig_kappa10027.png

(a) Temperature-dependent lattice thermal conductivity

../../_images/fig_times21784.png

(b) Computation time