mp-23044/VBiO4/anharm

Equation of state

../../_images/fig_bm6411.png

(a) Equation of state

Harmonic properties

../../_images/fig_bandos_pr12839.png

(a) Phonon dispersion with participation ratio and DOS

../../_images/fig_bandos17231.png

(b) Phonon dispersion and DOS

../../_images/fig_thermo12839.png

(c) Thermodynamic properties

Grüneisen parameters

../../_images/fig_gru_all5320.png

(a) Grüneisen parameters

../../_images/fig_gruneisen5320.png

(b) Phonon dispersion with Grüneisen parameters

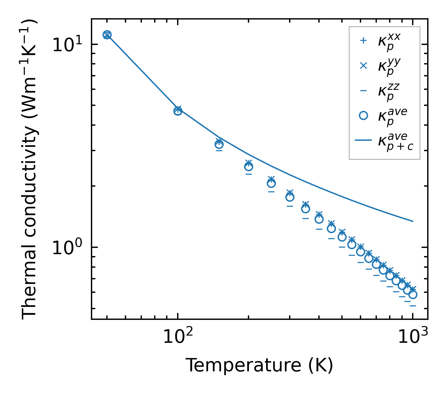
Thermal conductivity

3-phonon (LASSO) — q-mesh: 13x13x13, supercell: 2x2x1

../../_images/fig_kappa9994.png

(a) Temperature-dependent lattice thermal conductivity

../../_images/fig_kappa_vs_grain_size5383.png

(b) Peierls lattice thermal conductivity w.r.t grain size

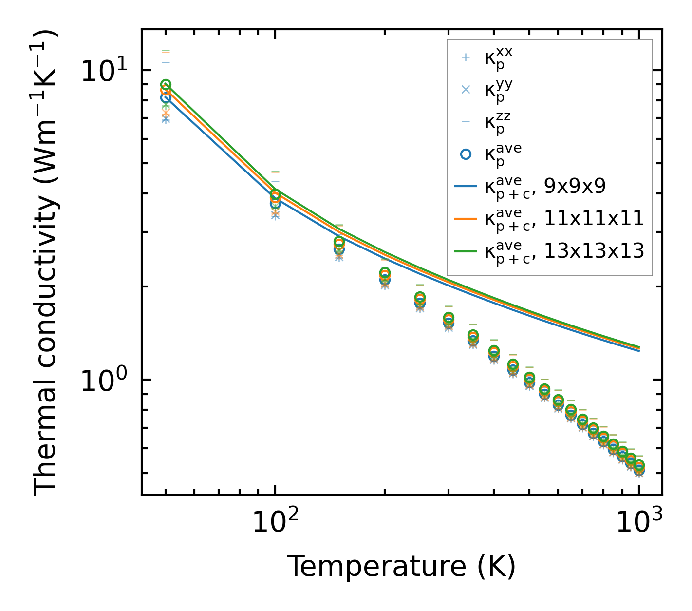
3-phonon (LASSO), supercell 3x3x1 — q-mesh: 13x13x13, supercell: 3x3x1

../../_images/fig_kappa9995.png

(a) Temperature-dependent lattice thermal conductivity

../../_images/fig_kappa_vs_grain_size5384.png

(b) Peierls lattice thermal conductivity w.r.t grain size

Phonon lifetime and scattering rates

../../_images/fig_lifetime5269.png

(a) Phonon lifetime due to phonon-phonon scattering

../../_images/fig_scat_rates5268.png

(b) Phonon scattering rates

Cumulative and spectral thermal conductivity

../../_images/fig_cumu_frequency5269.png

(a) Spectral and cumulative thermal conductivity w.r.t frequency

../../_images/fig_cumu_mfp5268.png

(b) Spectral and cumulative thermal conductivity w.r.t MFP

Force constants

../../_images/fig_fc212535.png

(a) Force constants w.r.t atomic distance

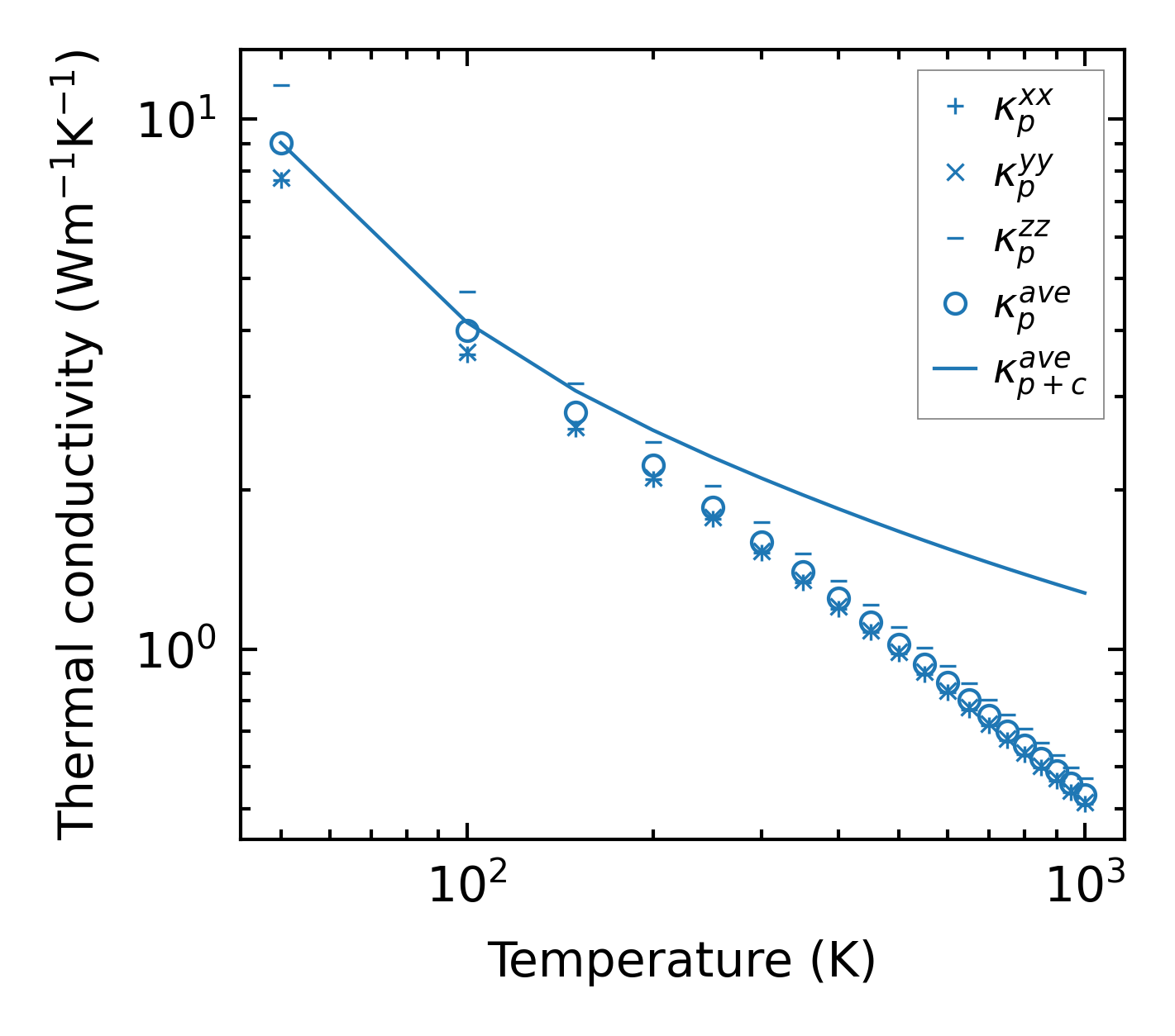
Summary

../../_images/fig_kappa9996.png

(a) Temperature-dependent lattice thermal conductivity

../../_images/fig_times21755.png

(b) Computation time