mp-23066/Pb5S2I6/anharm

Harmonic properties

../../_images/fig_bandos_pr12858.png

(a) Phonon dispersion with participation ratio and DOS

../../_images/fig_thermo12858.png

(b) Thermodynamic properties

Grüneisen parameters

../../_images/fig_gru_all5333.png

(a) Grüneisen parameters

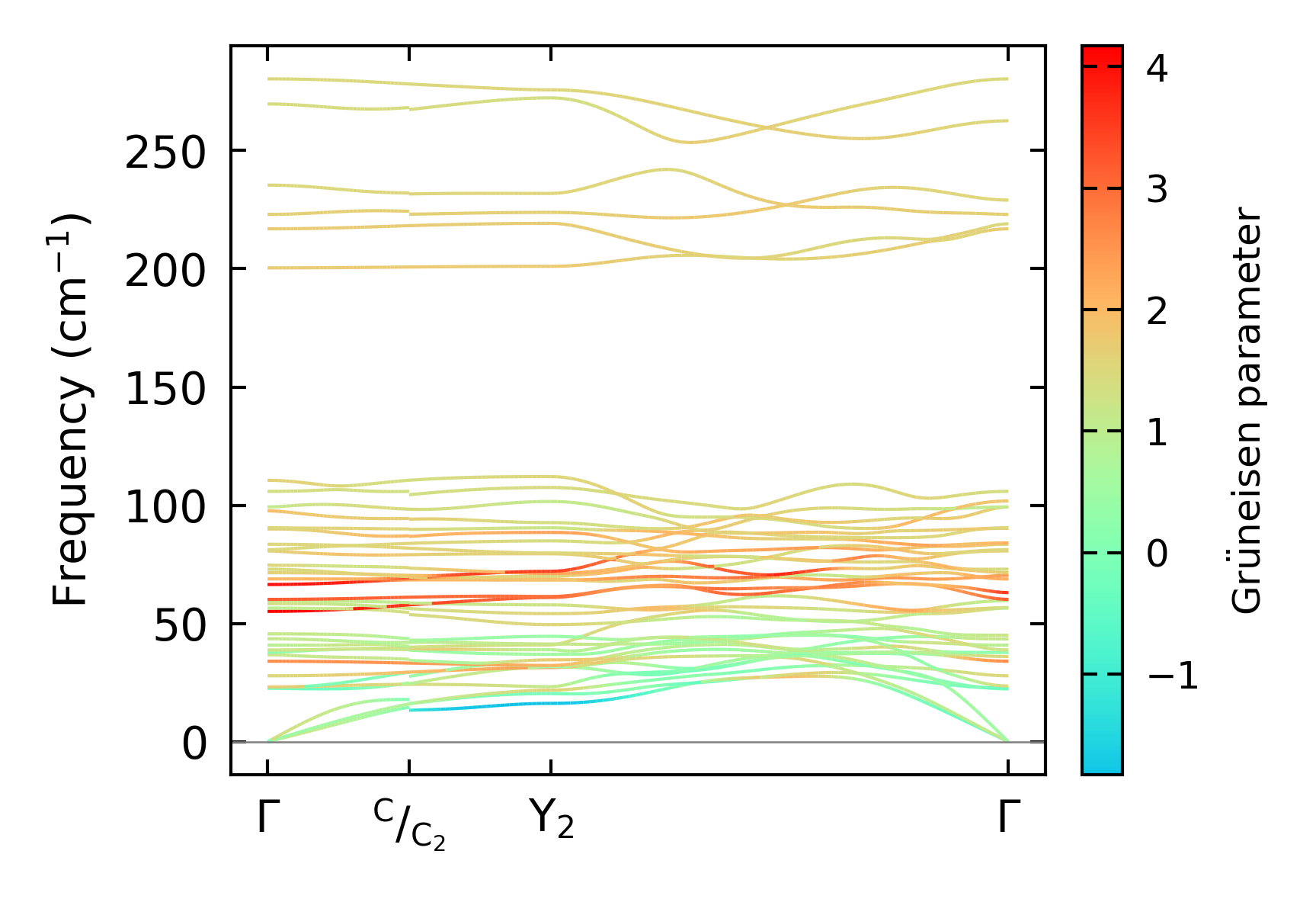
../../_images/fig_gruneisen5333.png

(b) Phonon dispersion with Grüneisen parameters

Thermal conductivity

3-phonon (LASSO) — q-mesh: 11x11x6, supercell: 1x4x1

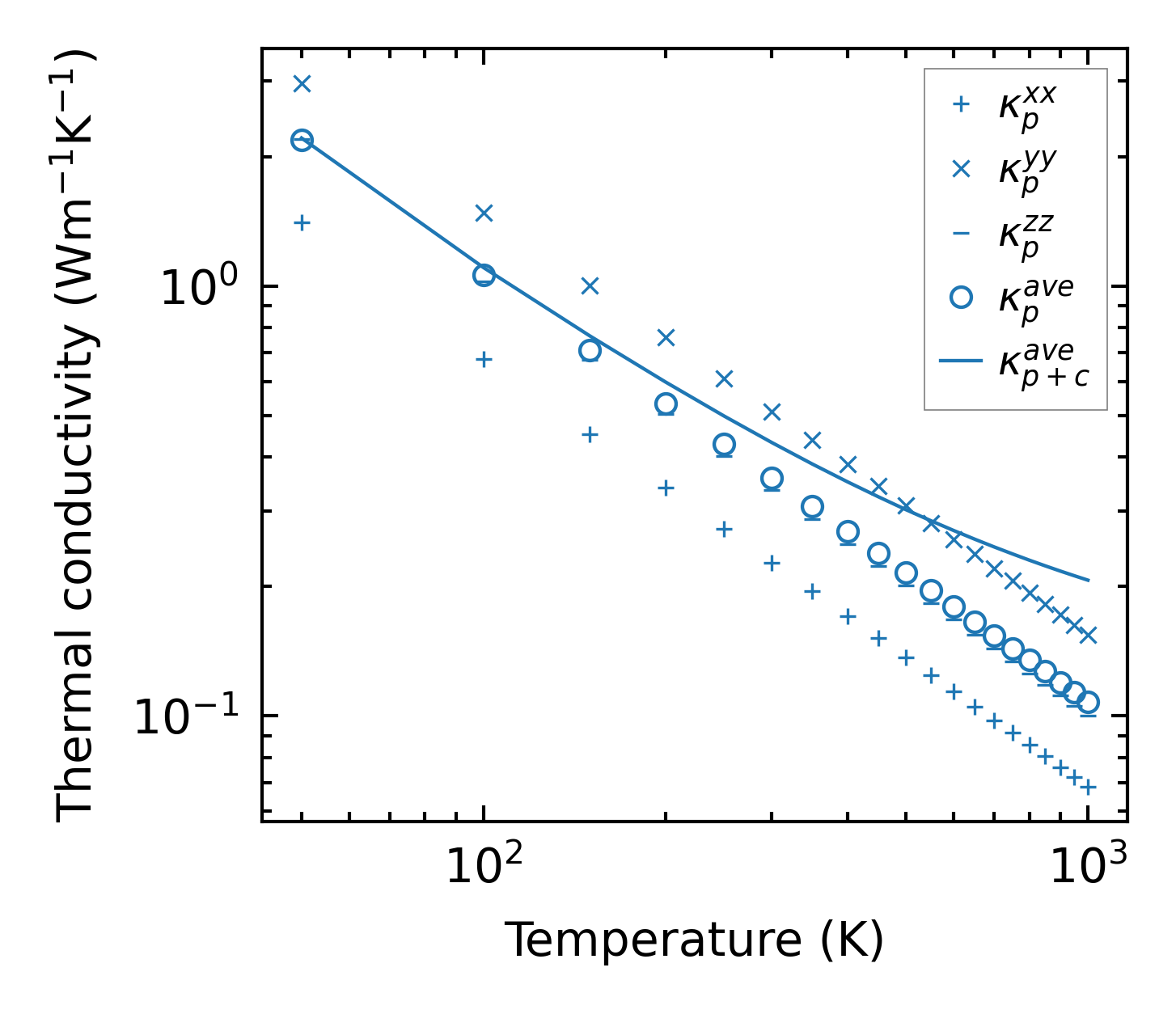
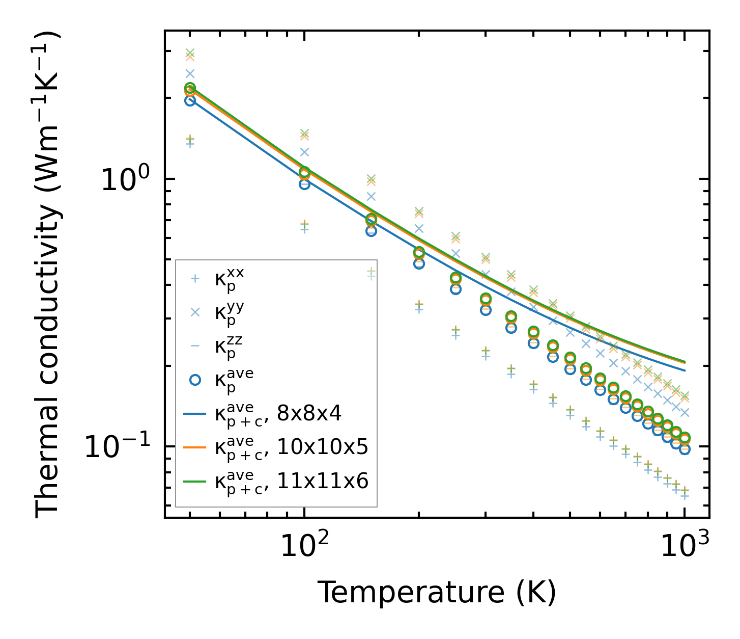
../../_images/fig_kappa10020.png

(a) Temperature-dependent lattice thermal conductivity

../../_images/fig_kappa_vs_grain_size5397.png

(b) Peierls lattice thermal conductivity w.r.t grain size

Phonon lifetime and scattering rates

../../_images/fig_lifetime5282.png

(a) Phonon lifetime due to phonon-phonon scattering

../../_images/fig_scat_rates5281.png

(b) Phonon scattering rates

Cumulative and spectral thermal conductivity

../../_images/fig_cumu_frequency5282.png

(a) Spectral and cumulative thermal conductivity w.r.t frequency

../../_images/fig_cumu_mfp5281.png

(b) Spectral and cumulative thermal conductivity w.r.t MFP

Force constants

../../_images/fig_fc212554.png

(a) Force constants w.r.t atomic distance

Summary

../../_images/fig_kappa10021.png

(a) Temperature-dependent lattice thermal conductivity

../../_images/fig_times21779.png

(b) Computation time