mp-23192/HgI2/anharm

Harmonic properties

../../_images/fig_bandos_pr12939.png

(a) Phonon dispersion with participation ratio and DOS

../../_images/fig_thermo12939.png

(b) Thermodynamic properties

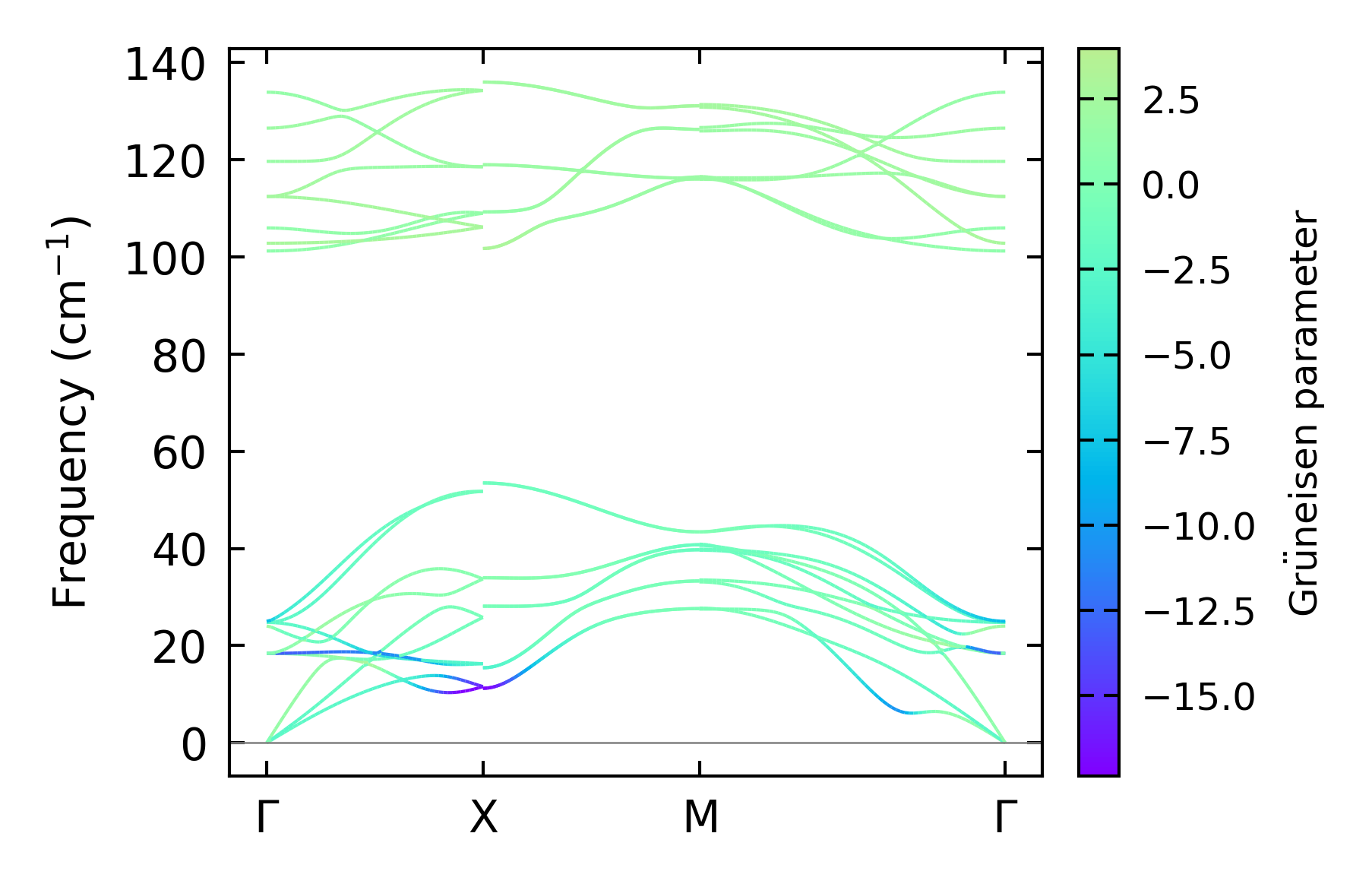
Grüneisen parameters

../../_images/fig_gru_all5372.png

(a) Grüneisen parameters

../../_images/fig_gruneisen5372.png

(b) Phonon dispersion with Grüneisen parameters

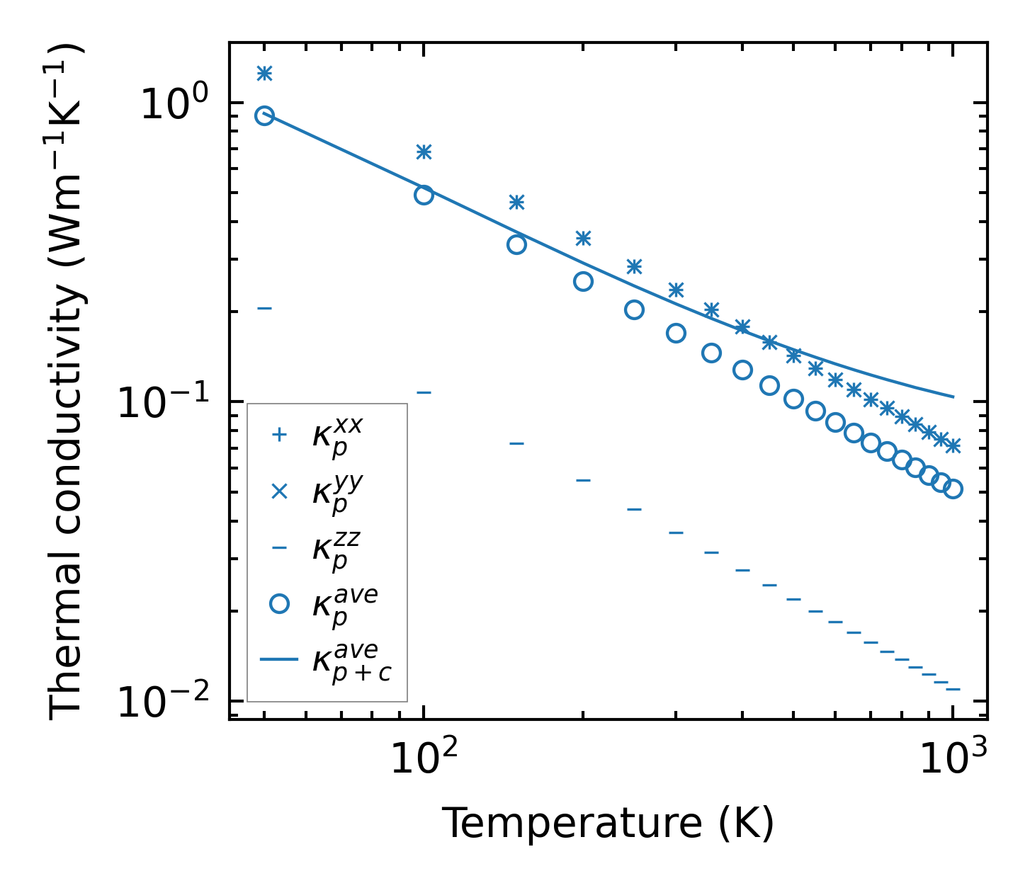
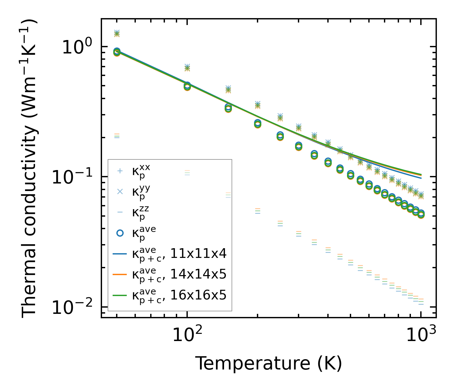
Thermal conductivity

3-phonon — q-mesh: 16x16x5, supercell: 3x3x2

../../_images/fig_kappa10091.png

(a) Temperature-dependent lattice thermal conductivity

../../_images/fig_kappa_vs_grain_size5436.png

(b) Peierls lattice thermal conductivity w.r.t grain size

Phonon lifetime and scattering rates

../../_images/fig_lifetime5320.png

(a) Phonon lifetime due to phonon-phonon scattering

../../_images/fig_scat_rates5319.png

(b) Phonon scattering rates

Cumulative and spectral thermal conductivity

../../_images/fig_cumu_frequency5320.png

(a) Spectral and cumulative thermal conductivity w.r.t frequency

../../_images/fig_cumu_mfp5319.png

(b) Spectral and cumulative thermal conductivity w.r.t MFP

Force constants

../../_images/fig_fc3308.png

(a) Force constants w.r.t atomic distance

Summary

../../_images/fig_kappa10092.png

(a) Temperature-dependent lattice thermal conductivity

../../_images/fig_times21894.png

(b) Computation time