mp-23801-2/K2H2IrCl5O/anharm

Equation of state

../../_images/fig_bm6215.png

(a) Equation of state

Harmonic properties

../../_images/fig_bandos_pr12505.png

(a) Phonon dispersion with participation ratio and DOS

../../_images/fig_bandos16833.png

(b) Phonon dispersion and DOS

../../_images/fig_thermo12505.png

(c) Thermodynamic properties

Grüneisen parameters

../../_images/fig_gru_all5192.png

(a) Grüneisen parameters

../../_images/fig_gruneisen5192.png

(b) Phonon dispersion with Grüneisen parameters

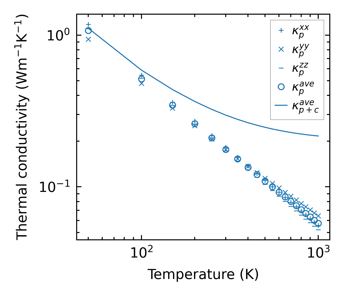
Thermal conductivity

3-phonon (LASSO), supercell 1x2x2 — q-mesh: 5x8x9, supercell: 1x2x2

../../_images/fig_kappa9766.png

(a) Temperature-dependent lattice thermal conductivity

../../_images/fig_kappa_vs_grain_size5254.png

(b) Peierls lattice thermal conductivity w.r.t grain size

Phonon lifetime and scattering rates

../../_images/fig_lifetime5141.png

(a) Phonon lifetime due to phonon-phonon scattering

../../_images/fig_scat_rates5140.png

(b) Phonon scattering rates

Cumulative and spectral thermal conductivity

../../_images/fig_cumu_frequency5141.png

(a) Spectral and cumulative thermal conductivity w.r.t frequency

../../_images/fig_cumu_mfp5140.png

(b) Spectral and cumulative thermal conductivity w.r.t MFP

Force constants

../../_images/fig_fc212204.png

(a) Force constants w.r.t atomic distance

Summary

../../_images/fig_times21260.png

(a) Computation time