mp-23697-2/K3AlH6/harm

Harmonic properties

../../_images/fig_bandos_pr12803.png

(a) Phonon dispersion with participation ratio and DOS

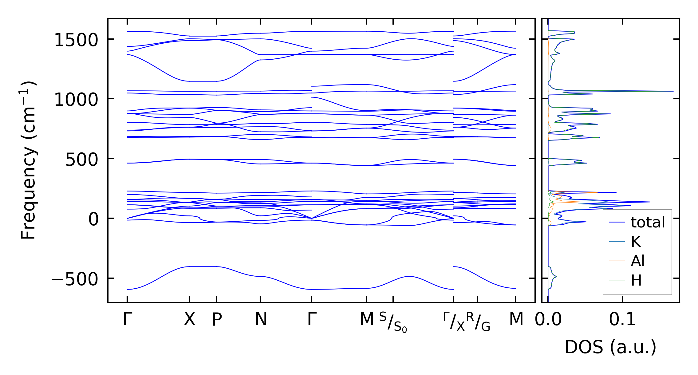
../../_images/fig_bandos17196.png

(b) Phonon dispersion and DOS

../../_images/fig_thermo12803.png

(c) Thermodynamic properties

Force constants

../../_images/fig_fc212499.png

(a) Force constants w.r.t atomic distance

Summary

../../_images/fig_times21711.png

(a) Computation time