mp-23040/Ca2PI/anharm

Harmonic properties

../../_images/fig_bandos_pr12835.png

(a) Phonon dispersion with participation ratio and DOS

../../_images/fig_thermo12835.png

(b) Thermodynamic properties

Grüneisen parameters

../../_images/fig_gru_all5317.png

(a) Grüneisen parameters

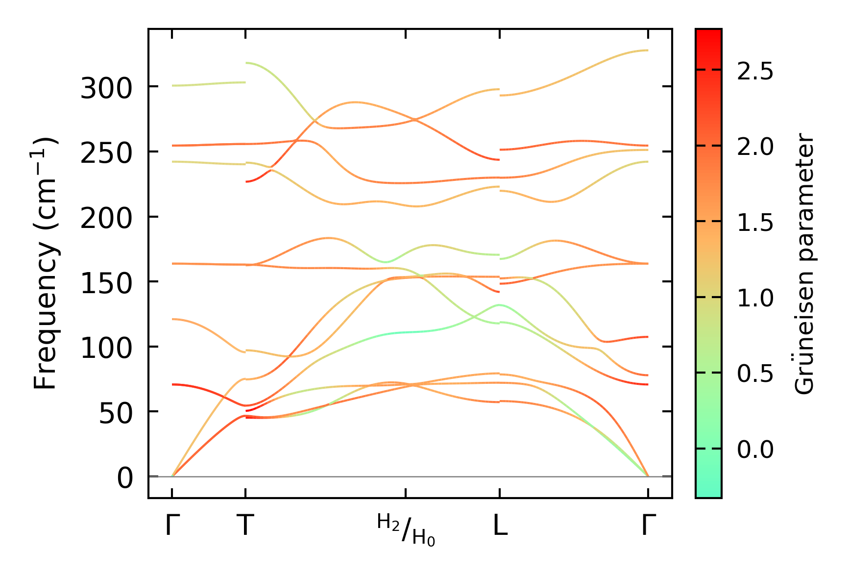
../../_images/fig_gruneisen5317.png

(b) Phonon dispersion with Grüneisen parameters

Thermal conductivity

3-phonon (LASSO) — q-mesh: 14x14x14, supercell: 3x3x1

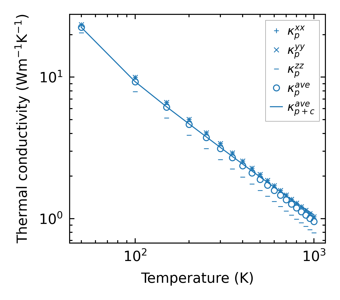
../../_images/fig_kappa9988.png

(a) Temperature-dependent lattice thermal conductivity

../../_images/fig_kappa_vs_grain_size5380.png

(b) Peierls lattice thermal conductivity w.r.t grain size

Phonon lifetime and scattering rates

../../_images/fig_lifetime5266.png

(a) Phonon lifetime due to phonon-phonon scattering

../../_images/fig_scat_rates5265.png

(b) Phonon scattering rates

Cumulative and spectral thermal conductivity

../../_images/fig_cumu_frequency5266.png

(a) Spectral and cumulative thermal conductivity w.r.t frequency

../../_images/fig_cumu_mfp5265.png

(b) Spectral and cumulative thermal conductivity w.r.t MFP

Force constants

../../_images/fig_fc212531.png

(a) Force constants w.r.t atomic distance

Summary

../../_images/fig_kappa9989.png

(a) Temperature-dependent lattice thermal conductivity

../../_images/fig_times21751.png

(b) Computation time