mp-23391/Tl4CrI6/anharm

Harmonic properties

../../_images/fig_bandos_pr12655.png

(a) Phonon dispersion with participation ratio and DOS

../../_images/fig_thermo12655.png

(b) Thermodynamic properties

Grüneisen parameters

../../_images/fig_gru_all5239.png

(a) Grüneisen parameters

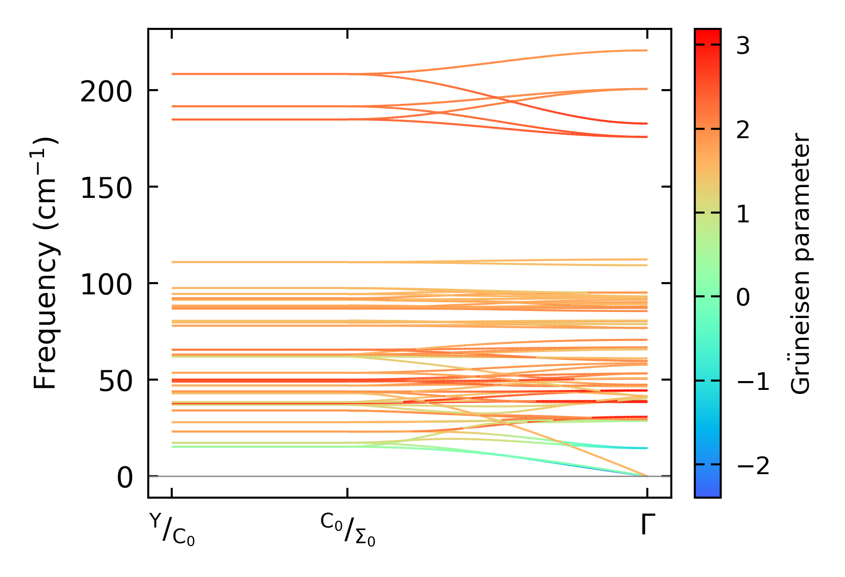
../../_images/fig_gruneisen5239.png

(b) Phonon dispersion with Grüneisen parameters

Thermal conductivity

3-phonon (LASSO) — q-mesh: 8x8x7, supercell: 1x1x2

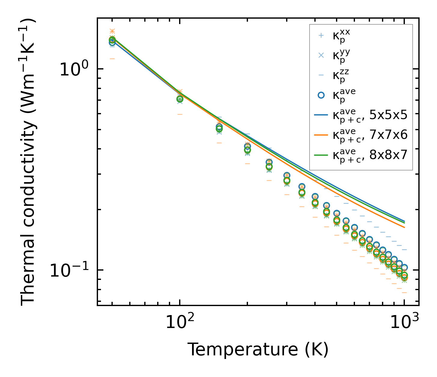
../../_images/fig_kappa9847.png

(a) Temperature-dependent lattice thermal conductivity

../../_images/fig_kappa_vs_grain_size5301.png

(b) Peierls lattice thermal conductivity w.r.t grain size

Phonon lifetime and scattering rates

../../_images/fig_lifetime5188.png

(a) Phonon lifetime due to phonon-phonon scattering

../../_images/fig_scat_rates5187.png

(b) Phonon scattering rates

Cumulative and spectral thermal conductivity

../../_images/fig_cumu_frequency5188.png

(a) Spectral and cumulative thermal conductivity w.r.t frequency

../../_images/fig_cumu_mfp5187.png

(b) Spectral and cumulative thermal conductivity w.r.t MFP

Force constants

../../_images/fig_fc212352.png

(a) Force constants w.r.t atomic distance

Summary

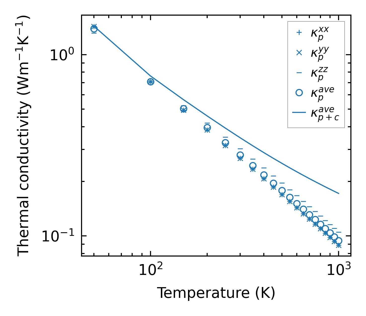
../../_images/fig_kappa9848.png

(a) Temperature-dependent lattice thermal conductivity

../../_images/fig_times21492.png

(b) Computation time