mp-23399/Rb2AgI3/anharm

Harmonic properties

../../_images/fig_bandos_pr12658.png

(a) Phonon dispersion with participation ratio and DOS

../../_images/fig_thermo12658.png

(b) Thermodynamic properties

Grüneisen parameters

../../_images/fig_gru_all5242.png

(a) Grüneisen parameters

../../_images/fig_gruneisen5242.png

(b) Phonon dispersion with Grüneisen parameters

Thermal conductivity

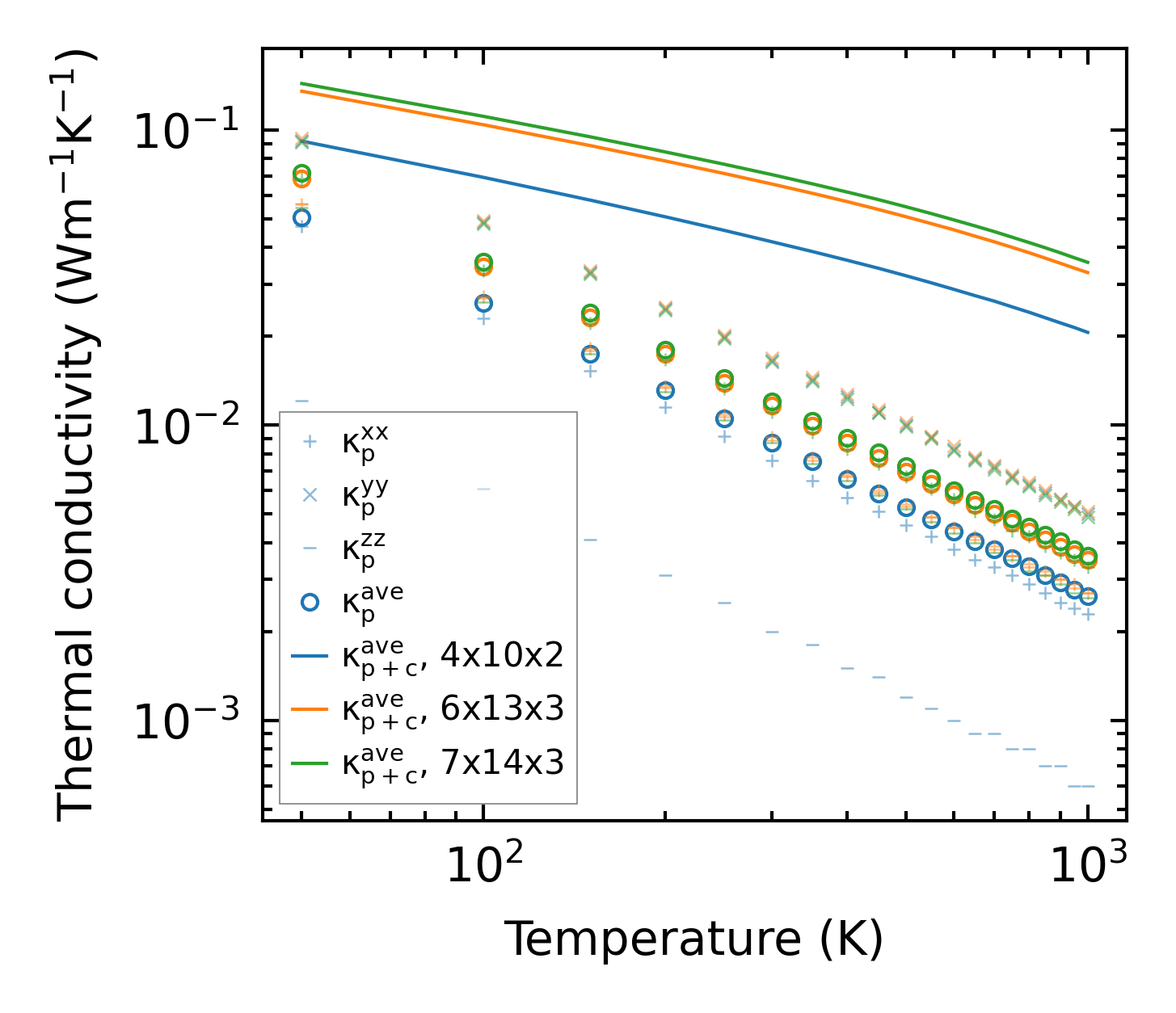
3-phonon (LASSO) — q-mesh: 7x14x3, supercell: 2x3x1

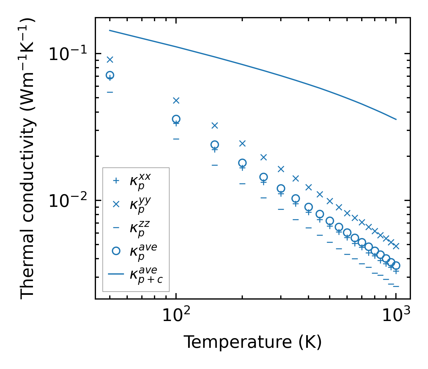
../../_images/fig_kappa9853.png

(a) Temperature-dependent lattice thermal conductivity

../../_images/fig_kappa_vs_grain_size5304.png

(b) Peierls lattice thermal conductivity w.r.t grain size

Phonon lifetime and scattering rates

../../_images/fig_lifetime5191.png

(a) Phonon lifetime due to phonon-phonon scattering

../../_images/fig_scat_rates5190.png

(b) Phonon scattering rates

Cumulative and spectral thermal conductivity

../../_images/fig_cumu_frequency5191.png

(a) Spectral and cumulative thermal conductivity w.r.t frequency

../../_images/fig_cumu_mfp5190.png

(b) Spectral and cumulative thermal conductivity w.r.t MFP

Force constants

../../_images/fig_fc212355.png

(a) Force constants w.r.t atomic distance

Summary

../../_images/fig_kappa9854.png

(a) Temperature-dependent lattice thermal conductivity

../../_images/fig_times21499.png

(b) Computation time