mp-23484-2/CsAuCl3/anharm

Equation of state

../../_images/fig_bm6332.png

(a) Equation of state

Harmonic properties

../../_images/fig_bandos_pr12700.png

(a) Phonon dispersion with participation ratio and DOS

../../_images/fig_thermo12700.png

(b) Thermodynamic properties

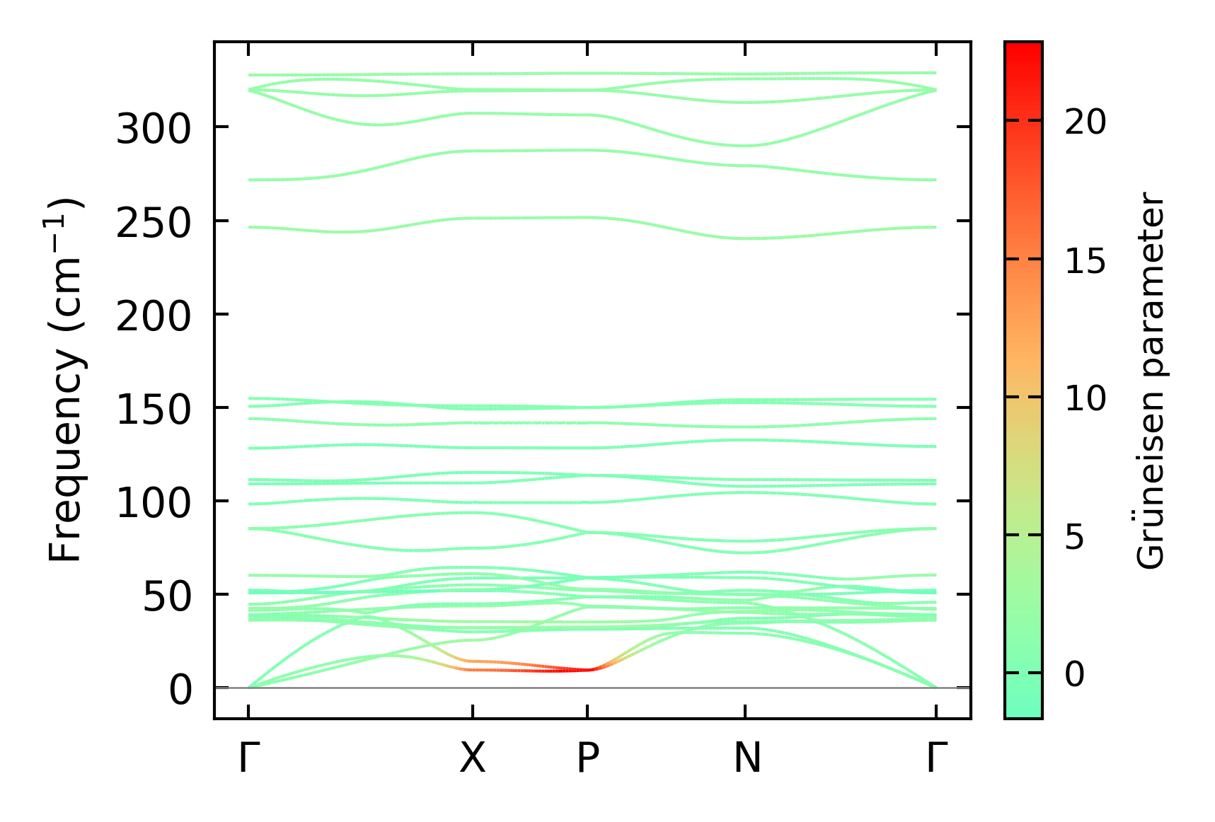
Grüneisen parameters

../../_images/fig_gru_all5264.png

(a) Grüneisen parameters

../../_images/fig_gruneisen5264.png

(b) Phonon dispersion with Grüneisen parameters

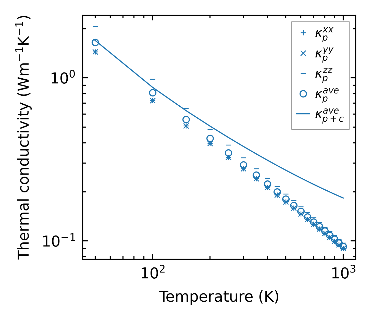
Thermal conductivity

3-phonon (LASSO) — q-mesh: 10x10x10, supercell: 2x2x1

../../_images/fig_kappa9896.png

(a) Temperature-dependent lattice thermal conductivity

../../_images/fig_kappa_vs_grain_size5326.png

(b) Peierls lattice thermal conductivity w.r.t grain size

Phonon lifetime and scattering rates

../../_images/fig_lifetime5213.png

(a) Phonon lifetime due to phonon-phonon scattering

../../_images/fig_scat_rates5212.png

(b) Phonon scattering rates

Cumulative and spectral thermal conductivity

../../_images/fig_cumu_frequency5213.png

(a) Spectral and cumulative thermal conductivity w.r.t frequency

../../_images/fig_cumu_mfp5212.png

(b) Spectral and cumulative thermal conductivity w.r.t MFP

Force constants

../../_images/fig_fc212396.png

(a) Force constants w.r.t atomic distance

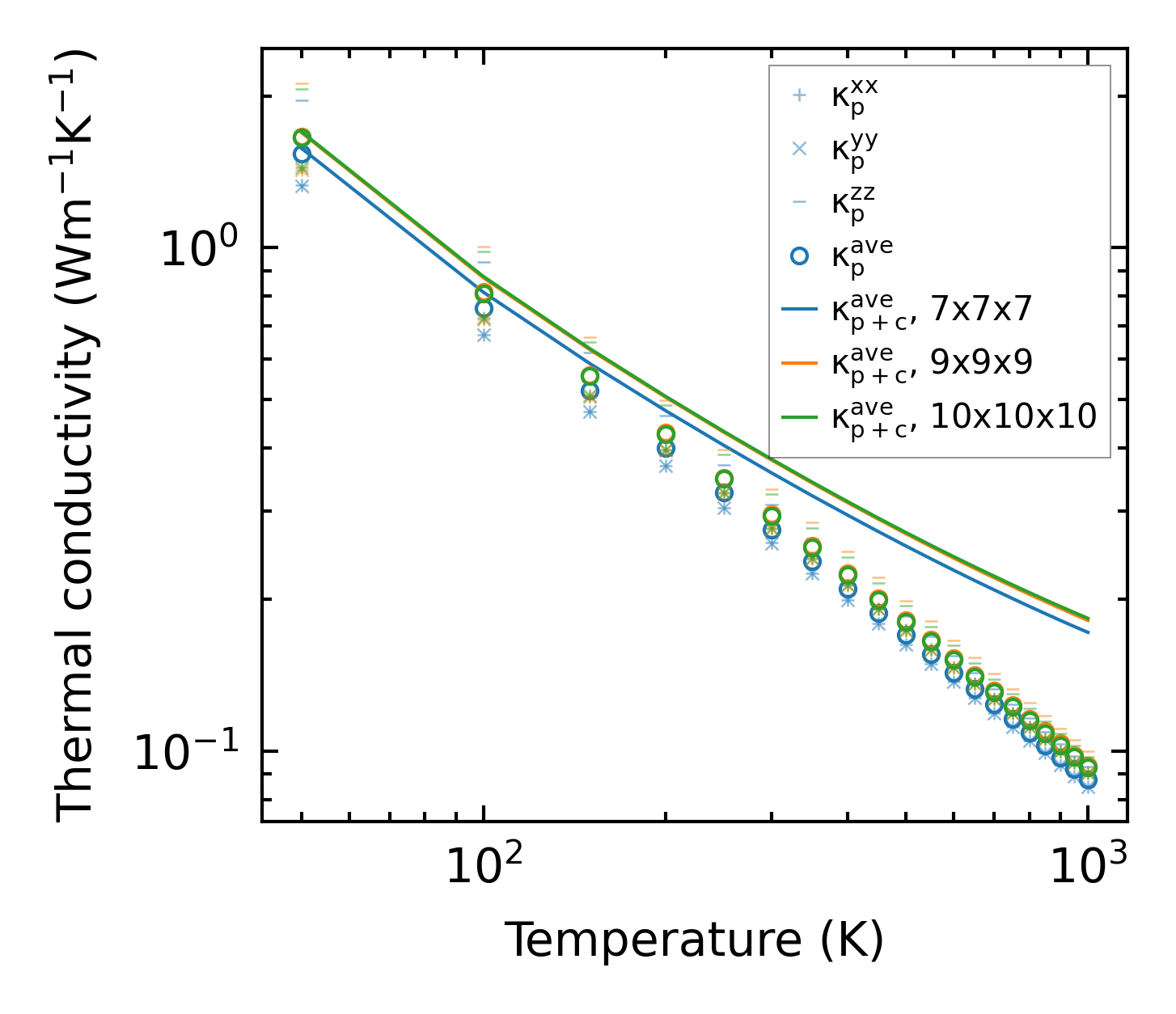
Summary

../../_images/fig_kappa9897.png

(a) Temperature-dependent lattice thermal conductivity

../../_images/fig_times21562.png

(b) Computation time