mp-23096-2/LuSeClO3/anharm

Equation of state

../../_images/fig_bm6433.png

(a) Equation of state

Harmonic properties

../../_images/fig_bandos_pr12876.png

(a) Phonon dispersion with participation ratio and DOS

../../_images/fig_thermo12876.png

(b) Thermodynamic properties

Grüneisen parameters

../../_images/fig_gru_all5343.png

(a) Grüneisen parameters

../../_images/fig_gruneisen5343.png

(b) Phonon dispersion with Grüneisen parameters

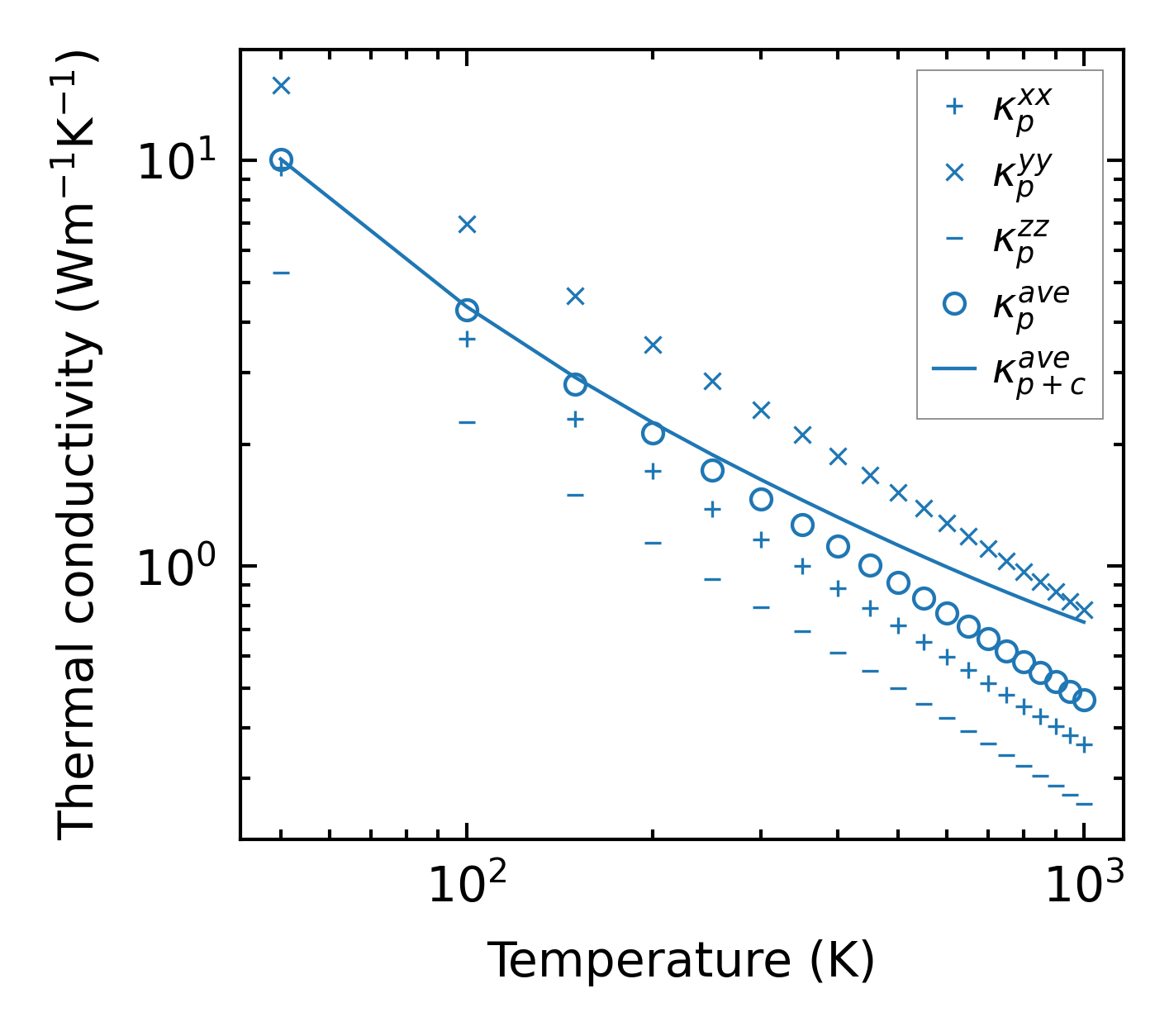
Thermal conductivity

3-phonon (LASSO) — q-mesh: 10x10x8, supercell: 2x2x1

../../_images/fig_kappa10039.png

(a) Temperature-dependent lattice thermal conductivity

../../_images/fig_kappa_vs_grain_size5407.png

(b) Peierls lattice thermal conductivity w.r.t grain size

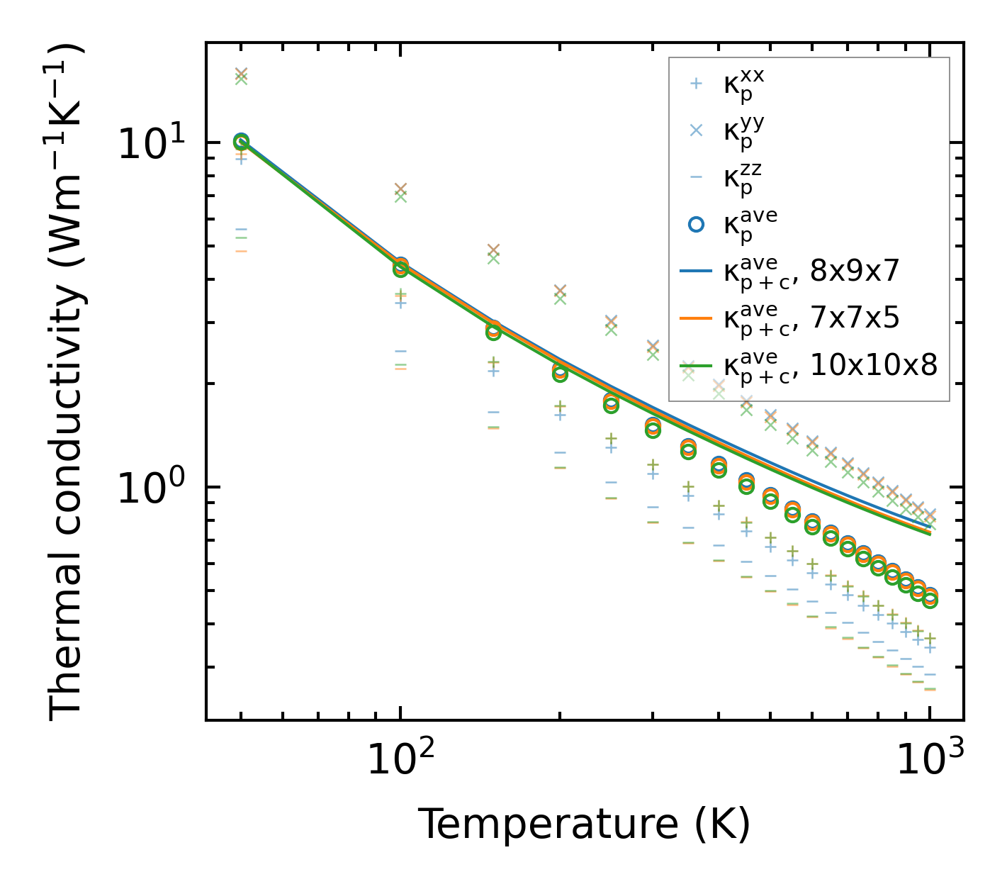
3-phonon (LASSO), supercell 2x2x2 — q-mesh: 10x10x8, supercell: 2x2x2

../../_images/fig_kappa10040.png

(a) Temperature-dependent lattice thermal conductivity

../../_images/fig_kappa_vs_grain_size5408.png

(b) Peierls lattice thermal conductivity w.r.t grain size

Phonon lifetime and scattering rates

../../_images/fig_lifetime5292.png

(a) Phonon lifetime due to phonon-phonon scattering

../../_images/fig_scat_rates5291.png

(b) Phonon scattering rates

Cumulative and spectral thermal conductivity

../../_images/fig_cumu_frequency5292.png

(a) Spectral and cumulative thermal conductivity w.r.t frequency

../../_images/fig_cumu_mfp5291.png

(b) Spectral and cumulative thermal conductivity w.r.t MFP

Force constants

../../_images/fig_fc212572.png

(a) Force constants w.r.t atomic distance

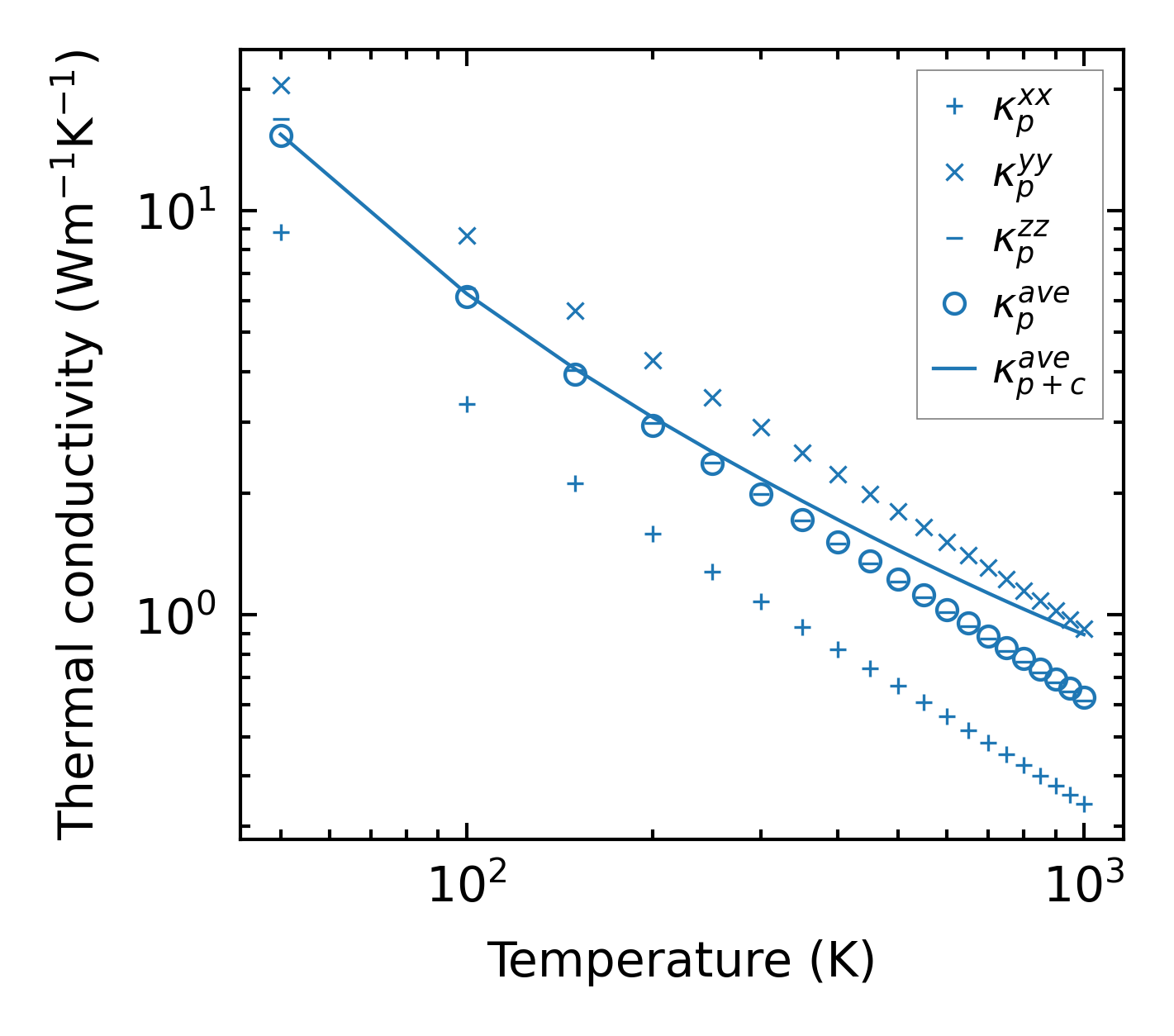
Summary

../../_images/fig_kappa10041.png

(a) Temperature-dependent lattice thermal conductivity

../../_images/fig_times21814.png

(b) Computation time