mp-23930-2/H4CSN2/anharm

Equation of state

../../_images/fig_bm6249.png

(a) Equation of state

Harmonic properties

../../_images/fig_bandos_pr12556.png

(a) Phonon dispersion with participation ratio and DOS

../../_images/fig_thermo12556.png

(b) Thermodynamic properties

Grüneisen parameters

../../_images/fig_gru_all5209.png

(a) Grüneisen parameters

../../_images/fig_gruneisen5209.png

(b) Phonon dispersion with Grüneisen parameters

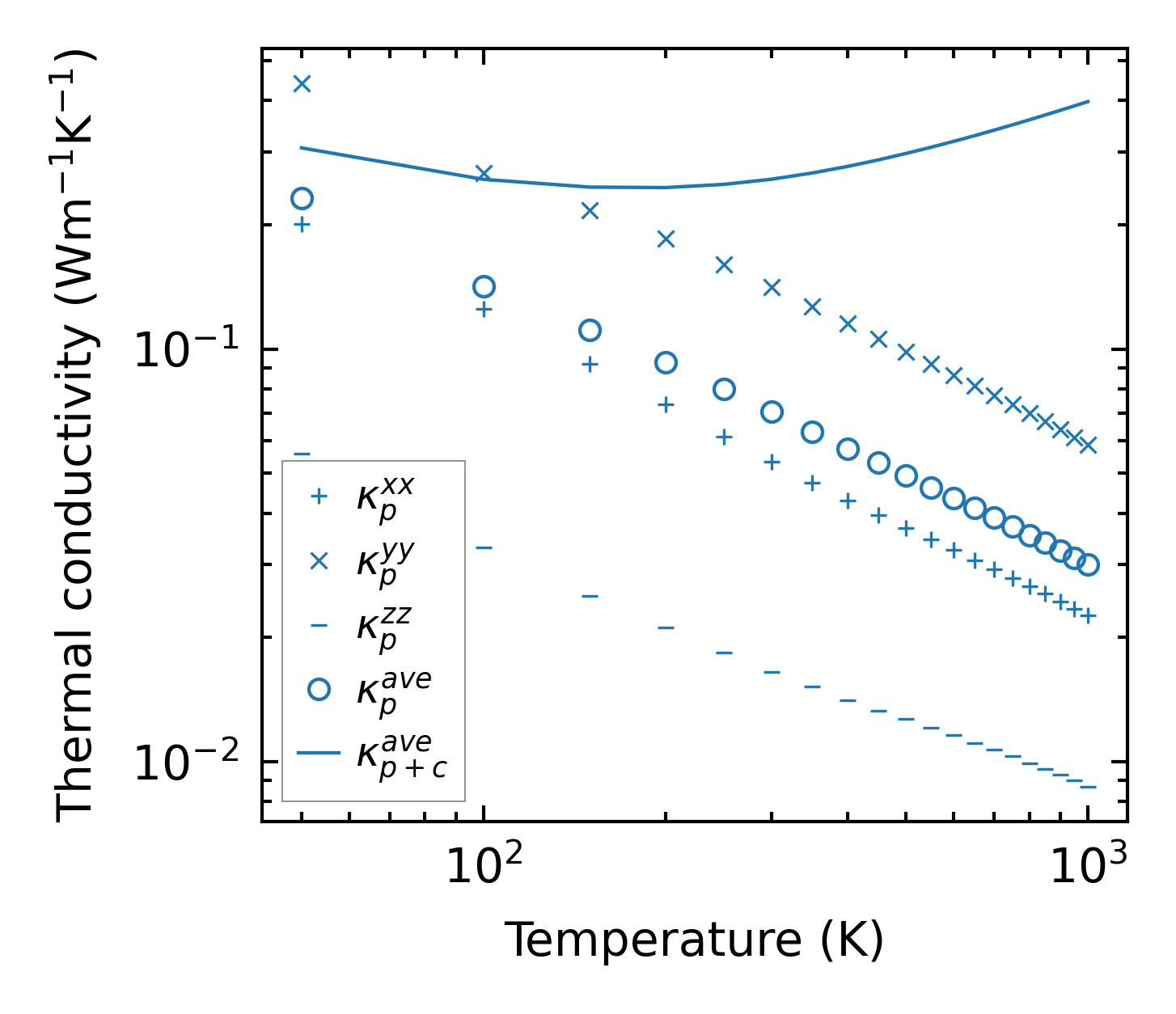
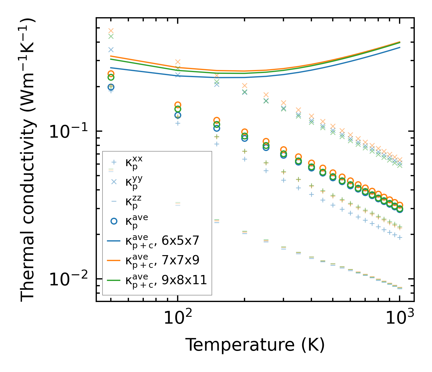
Thermal conductivity

3-phonon (LASSO) — q-mesh: 9x8x11, supercell: 2x1x2

../../_images/fig_kappa9799.png

(a) Temperature-dependent lattice thermal conductivity

../../_images/fig_kappa_vs_grain_size5271.png

(b) Peierls lattice thermal conductivity w.r.t grain size

Phonon lifetime and scattering rates

../../_images/fig_lifetime5158.png

(a) Phonon lifetime due to phonon-phonon scattering

../../_images/fig_scat_rates5157.png

(b) Phonon scattering rates

Cumulative and spectral thermal conductivity

../../_images/fig_cumu_frequency5158.png

(a) Spectral and cumulative thermal conductivity w.r.t frequency

../../_images/fig_cumu_mfp5157.png

(b) Spectral and cumulative thermal conductivity w.r.t MFP

Force constants

../../_images/fig_fc212254.png

(a) Force constants w.r.t atomic distance

Summary

../../_images/fig_kappa9800.png

(a) Temperature-dependent lattice thermal conductivity

../../_images/fig_times21346.png

(b) Computation time